부등식 증명 문제 [151-200]
추천글 : 【대수학】 대수학 목차
IneqMath 학습 데이터를 재구성하였습니다. 191번부터의 풀이는 여기를 참고
151. a, b, c > 0이고 ab + bc + ca ≤ 3abc 를 만족할 때, √((a2 + b2) / (a + b)) + √((b2 + c2) / (b + c)) + √((c2 + a2) / (c + a)) + 3 ≤ C (√(a + b) + √(b + c) + √(c + a)) 가 모든 a, b, c에 대해 항상 성립하도록 하는 상수 C의 최솟값을 구하여라.
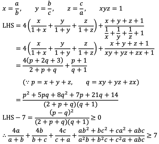
152. a, b, c > 0인 양수일 때 4a / (a + b) + 4b / (b + c) + 4c / (c + a) + (ab2 + bc2 + ca2 + abc) / (a2b + b2c + c2a + abc) ≥ C 가 모든 양수 a, b, c에 대해 항상 성립하도록 하는 상수 C의 최댓값을 구하여라.
풀이. C ≤ 7 (등호조건은 a = b = c)

153. x, y, z > 0일 때 xyz / [(1 + 3x)(x + 8y)(y + 9z)(z + 6)] ≤ C 가 모든 x, y, z에 대해 항상 성립하도록 하는 상수 C의 최솟값을 구하여라.
154. a, b, c > 0인 양수이고 abc = 1일 때 1 / (a5 (b + 2c)2) + 1 / (b5 (c + 2a)2) + 1 / (c5 (a + 2b)2) ≥ C 가 모든 a, b, c에 대해 항상 성립하도록 하는 상수 C의 최댓값을 구하여라.
155. 모든 실수 a, b, c에 대하여 (a - b)2 / (b - c)2 + (b - c)2 / (c - a)2 + (c - a)2 / (a - b)2 ≥ C 가 항상 성립하도록 하는 상수 C의 최댓값을 구하여라.
156. a, b, c > 0인 양수이고 a b c = 1일 때 3 / (1 + a)2 + 3 / (1 + b)2 + 3 / (1 + c)2 + 3 / (a + b + c + 1) ≥ C 가 모든 a, b, c에 대해 항상 성립하도록 하는 상수 C의 최댓값을 구하여라.
157. 이등변삼각형 △ABC에서 AB = AC이고, 점 A와 B에서 삼각형의 외접원에 그은 두 접선이 점 D에서 만난다. 이때 ∠DCB ≤ C 가 모든 이러한 삼각형에 대해 항상 성립하도록 하는 상수 C의 최솟값을 구하여라.
158. a, b, c ∈ ℝ일 때 (a + b)4 + (b + c)4 + (c + a)4 ≥ C(a4 + b4 + c4) 가 모든 a, b, c에 대해 항상 성립하도록 하는 상수 C의 최댓값을 구하여라.
159. n이 3보다 큰 홀수 정수이고 x1, x2, …, xn ∈ ℝ일 때 C (n - 1) · max(x12, x22, …, xn2) + (x1 + x2 + … + xn)2 ≥ x12 + x22 + … + xn2 가 모든 x1, x2, …, xn에 대해 항상 성립하도록 하는 상수 C의 최솟값을 구하여라.
160. a, b, c > 0이고 abc = 1일 때 ((a + b + c) / 3)C ≥ (a2 + b2 + c2) / 3 가 모든 a, b, c에 대해 항상 성립하도록 하는 상수 C의 최솟값을 구하여라.
161. x ≥ y ≥ z ≥ 0일 때 x2y / z + y2z / x + z2x / y ≥ C (x2 + y2 + z2) 가 모든 x, y, z에 대해 항상 성립하도록 하는 상수 C의 최댓값을 구하여라.
162. 0 ≤ x ≤ 1이고 n ∈ ℕ일 때 (1 - x + x2 / 2)n - (1 - x)n ≤ Cx 가 모든 x와 n에 대해 항상 성립하도록 하는 상수 C의 최솟값을 구하여라.
163. 예각삼각형 △ABC에서 변의 길이를 a, b, c라 하고, 외접반지름을 R, 내접반지름을 r이라 하자. 이때 a + b + c ≥ CR + 2r 가 항상 성립하도록 하는 상수 C의 최댓값을 구하여라.
164. 삼각형 ABC 안에 한 점 P가 있고, PA = l, PB = m, PC = n이라 하자. 이때 (lm + mn + nl)(l + m + n) ≥ C(a2l + b2m + c2n) 가 삼각형 ABC의 내부에 있는 모든 점 P에 대해 항상 성립하도록 하는 상수 C의 최댓값을 구하여라.
165. 예각삼각형 △ABC의 외심을 O, 외접반지름을 R이라 하자. AO가 △OBC의 외접원과 만나는 점을 D, BO가 △OCA의 외접원과 만나는 점을 E, CO가 △OAB의 외접원과 만나는 점을 F라 할 때, OD · OE · OF ≥ CR3 가 항상 성립하도록 하는 상수 C의 최댓값을 구하여라.
166. a, b, c가 한 삼각형의 세 변의 길이일 때 √(Cabc + (a + b - c)(b + c - a)(a + c - b)) + ∑cyc a√a ≥ ∑cyc a(√b + √c) 가 모든 삼각부등식을 만족하는 a, b, c에 대해 항상 성립하도록 하는 상수 C의 최솟값을 구하여라.
167. a1, ···, an, b1, ···, bn > 0인 양수일 때 ∑i=1→n (ai bi / (ai + bi)) ≤ C · ((∑i=1→n ai)(∑i=1→n bi ) / ∑i=1→n(ai + bi)) 가 모든 양수 ai, bi에 대해 항상 성립하도록 하는 상수 C의 최솟값을 구하여라.
168. a, b, c > 0이고 a + b + c = 3일 때 abc + 17 / (ab + bc + ca) ≥ C 가 모든 a, b, c에 대해 항상 성립하도록 하는 상수 C의 최댓값을 구하여라.
169. a, b, c ∈ [1/3, 3]일 때 a / (a + b) + b / (b + c) + c / (c + a) ≥ C 가 모든 a, b, c에 대해 항상 성립하도록 하는 상수 C의 최댓값을 구하여라.
170. a, b, c > 0이고 abc = 1일 때 a2b2 / (a7 + b7 + a2b2) + b2c2 / (b7 + c7 + b2c2) + c2a2 / (c7 + a7 + c2a2) ≤ C 가 모든 a, b, c에 대해 항상 성립하도록 하는 상수 C의 최솟값을 구하여라.
171. a, b, c가 한 삼각형의 세 변의 길이일 때 a / (3a - b + c) + b / (3b - c + a) + c / (3c - a + b) ≥ C 가 모든 삼각부등식을 만족하는 a, b, c에 대해 항상 성립하도록 하는 상수 C의 최댓값을 구하여라.
172. a, b, c, d > 0이고 a + b + c + d = 4일 때 a / (1 + b2c) + b / (1 + c2d) + c / (1 + d2a) + d / (1 + a2b) ≥ C 가 모든 a, b, c, d에 대해 항상 성립하도록 하는 상수 C의 최댓값을 구하여라.
173. a, b, c > 0이고 a2 + 2b + c2 = 1일 때 2(a2 + b2 + c2) − (ab + bc + ca) ≥ C 가 모든 a, b, c에 대해 항상 성립하도록 하는 상수 C의 최댓값을 구하여라.
174. x, y, z > 0일 때 (x3 + 2) / (2 + x + y + z3) + (y3 + 2) / (2 + y + z + x3) + (z3 + 2) / (2 + z + x + y3) ≥ C 가 모든 양수 x, y, z에 대해 항상 성립하도록 하는 상수 C의 최댓값을 구하여라.
175. 실수 x, y, z가 x + y + z = x y z 를 만족할 때, 1 / (1 + x2) + 1 / (1 + y2) + 1 / (1 + z2) ≥ C 가 항상 성립하도록 하는 상수 C의 최댓값을 구하여라.
176. 모든 실수 x에 대해 x2 + 1 / (6(1 + |x - 2|)) ≥ C 가 항상 성립하도록 하는 상수 C의 최댓값을 구하여라.
177. 양수 x1, x2, …, xn 이 있고 x1 + x2 + … + xn = 1 일 때, i = 1, 2, …, n 에 대해 min{xi-1, xi} · max{xi, xi+1} / xi 를 모두 더한 값이 항상 C 이하가 되도록 하는 상수 C의 최솟값을 구하여라. 단, x0 = xn 이고 xn+1 = x1 로 둔다.
178. 양수 a, b, c와 n ≥ 3 인 실수 n 이 a + b + c = ab + bc + ca 를 만족할 때, a2 / b + b2 / c + c2 / a + 3n / (a2 + b2 + c2) ≥ C + n 이 항상 성립하도록 하는 상수 C의 최댓값을 구하여라.
179. a, b, c ≥ 0이고 a2 + b + c2 = 1일 때, 1 / (1 + a2) + 6 / (5(1 + b2)) + 1 / (1 + c2) ≥ C 가 항상 성립하도록 하는 상수 C의 최댓값을 구하여라.
180. 양수 a, b, c에 대하여 a / (b + c) + b / (c + a) + (32 / 9) · (c / (a + b))2 ≥ C 가 항상 성립하도록 하는 상수 C의 최댓값을 구하여라.
181. 정수 aij (1 ≤ i, j ≤ 2022)가 총 20222개 있고, 각 aij는 [-2022, 2022] 구간에 속한다고 하자. 다음 부등식이 모든 aij에 대해 항상 성립하도록 하는 상수 C의 최댓값을 구하여라. ∏i=1 to 2022 (∑j=1 to 2022 aij2) ≥ C · ( ∑j=1 to 2022 ∏i=1 to 2022 aij )2
182. 복소수 x, y, z가 |x + 2y + 3z| = 1 을 만족할 때, x2 + y2 + z2 + |x2 + y2 + z2| ≥ C 가 항상 성립하도록 하는 상수 C의 최댓값을 구하여라.
183. 양수 a, b, c에 대하여 a / (b + Cc) + b / (c + Ca) + c / (a + Cb) ≥ 1 이 항상 성립하도록 하는 상수 C의 최댓값을 구하여라.
184. 양수 a, b, c 에 대하여 a / √(b2 + bc + c2) + b / √(a2 + ac + c2) + c / √(a2 + ab + b2) ≥ C 가 항상 성립하도록 하는 상수 C의 최댓값을 구하여라.
185. 0 이상인 실수 a1, a2, …, an 이 있고 a1 × a2 × … × an = λn 을 만족할 때, ∏cyc (ai2 - ai + 1) ≥ √( ((1 + λ4) / C)n ) 이 항상 성립하도록 하는 상수 C의 최솟값을 구하여라.
186. 양수 x, y, z 가 xy + yz + zx = 1 을 만족할 때, x3 / (1 + 9 y2 zx) + y3 / (1 + 9 z2 xy) + z3 / (1 + 9 x2 yz) ≥ C (x + y + z)3 가 항상 성립하도록 하는 상수 C의 최댓값을 구하여라.
187. 양수 a, b, c에 대하여 a / b + b / c + c / a ( ) (c + 2a) / (c + b) + (a + 2b) / (a + c) + (b + 2c) / (b + a) 를 완성하기 위한 ( )는 다음 중 무엇인가: ≤, ≥, =, <, >, 어느 것도 아님.
188. 양수 x, y, z에 대하여 √(x(y + 1)) + √(y(z + 1)) + √(z(x + 1)) < 2 √((x + 1)(y + 1)(z + 1)) 가 항상 성립함을 보여라.
189. a, b, c > 0이고 a + b + c = 1일 때, (1 + a + b) / (2 + c) + (1 + b + c) / (2 + a) + (1 + c + a) / (2 + b) > 2 가 항상 성립함을 보여라.
190. a, b, c > 0이고 a + b + c = abc 일 때, 1 / √(a2 + 1) + 1 / √(b2 + 1) + 1 / √(c2 + 1) < 5 / 3 가 항상 성립함을 보여라.
191. a, b, c > 0 이고 a + b + c ≥ 1/a + 1/b + 1/c 를 만족할 때, a + b + c ≥ 3 / (a + b + c) + 2 / (abc) 가 항상 성립함을 보여라. (난이도 : 중)
풀이 2.
a + b + c ≥ 1/a + 1/b + 1/c
AM-GM를 1/a, 1/b, 1/c에 적용하면 1/a + 1/b + 1/c ≥ 3 / ∛((1/a)(1/b)(1/c)) = 3 / ∛(1/(abc)) = 3∛(abc)
따라서 주어진 조건과 합쳐서 a + b + c ≥ 3∛(abc)
a + b + c ≥ C/(a+b+c) + 2/(abc) x = a + b + c 라고 두면 x ≥ C/x + 2/(abc) 양변에 x를 곱해 정리하면 x² ≥ C + (2x)/(abc)
x ≥ 3∛(abc) → ∛(abc) ≤ x/3 → abc ≤ (x/3)³
양수이므로 역수를 취하면 부등호 방향이 바뀌어 1/(abc) ≥ 1/((x/3)³) = 27/x³
a=b=c=1이면 조건을 만족하고, x = 3, abc = 1
원래 부등식은 3 ≥ C/3 + 2 → 1 ≥ C/3 → C ≤ 3
따라서 C의 최댓값은 3
192. a, b, c, x, y, z > 0 이고 x + y + z = 1일 때, ax + by + cz + 2 √((xy + yz + zx)(ab + bc + ca)) ≤ a + b + c 가 항상 성립함을 보여라. (난이도 : 하)
193. a, b, c > 0 이고 ab + bc + ca = 3 일 때, (a3 - a + 5)(b5 - b3 + 5)(c7 - c5 + 5) ≥ 125 가 항상 성립함을 보여라. (난이도 : 상)
194. 정수 n > 2일 때, 양수 x1, x2, …, xn 에 대하여 (단, xn = x0 이고 xn+1 = x1 이라 하자) 1 / (2(n - 1)) ≤ Σi = 1 to n [ xi / (xi-1 + 2(n-1)xi + xi+1 ) ] ≤ 1 / 2 가 항상 성립함을 보여라. (난이도 : 상)
195. 0 이상인 실수 x1, x2, …, xn 이고 x1 + x2 + … + xn ≤ 1/2 일 때, (1 - x1)(1 - x2)…(1 - xn) ≥ 1/2 가 항상 성립함을 보여라. (난이도 : 중)
196. a, b, c ∈ (-3, 3) 이고 1 / (3 + a) + 1 / (3 + b) + 1 / (3 + c) = 1 / (3 - a) + 1 / (3 - b) + 1 / (3 - c) 를 만족할 때, 1 / (3 + a) + 1 / (3 + b) + 1 / (3 + c) ≥ 1 이 항상 성립함을 보여라. (난이도 : 중)
풀이 2. 창의적 풀이
x = 3+a, y = 3+b, z = 3+c 로 두면 a, b, c ∈ (-3,3) 이므로 x, y, z ∈ (0,6) 이다.
또한 조건식은 1/x + 1/y + 1/z = 1/(6-x) + 1/(6-y) + 1/(6-z) 로 바뀐다.
1/x + 1/y + 1/z = 1/(6-x) + 1/(6-y) + 1/(6-z) 를 만족하는 모든 x, y, z ∈ (0,6)에 대해 1/x + 1/y + 1/z ≥ C 가 성립하는 최대 C를 찾는다.
x = y = z 라 하면 조건식은 3·(1/x) = 3·(1/(6-x))
즉 1/x = 1/(6-x) 이고, 양변을 정리하면 6 - x = x → 6 = 2x → x = 3
따라서 x = y = z = 3 일 때 조건을 만족하며, 1/x + 1/y + 1/z = 1/3 + 1/3 + 1/3 = 1
즉, 항상 성립하는 상수 C는 최소값보다 클 수 없으므로 C ≤ 1 이다.
C = 1 이 실제로 최댓값인지 확인 다음 함수를 보자: f(x) = 1/x + 1/(6-x) (x ∈ (0,6))
미분하면 f′(x) = -1/x² + 1/(6-x)²
임계점을 찾기 위해 f′(x) = 0 을 풀면 -1/x² + 1/(6-x)² = 0 → 1/x² = 1/(6-x)² → x² = (6-x)² → x² = 36 - 12x + x² → 12x = 36 → x = 3
또한 f(x)는 x 와 6-x 에 대해 대칭이고, x = 3 에서 최소가 된다.
따라서 1/x + 1/(6-x) ≥ 2/3 이며 등호는 x = 3 에서 성립한다.
이 대칭성과 최소값 성질로부터, 주어진 조건을 만족시키는 조합들 중에서도 1/x + 1/y + 1/z의 최솟값은 x = y = z = 3 에서 달성되고 그 값은 1이다.
따라서 조건을 만족하는 모든 a, b, c ∈ (-3,3)에 대해 1/(3+a) + 1/(3+b) + 1/(3+c) ≥ 1 가 성립한다.
197. a, b, c > 0이고 a + b + c = 3일 때, a2 / (a + 2 b3) + b2 / (b + 2 c3) + c2 / (c + 2 a3) ≥ 1 이 항상 성립함을 보여라. (난이도 : 상)
198. 주어진 삼각형에서 변의 길이를 a, b, c 라 하고, 각 변에 대한 중선의 길이를 각각 ta, tb, tc 라 하자. 이때 모든 삼각형에 대하여 ta tb + tb tc + tc ta < (5/4)(ab + bc + ca) 가 항상 성립함을 보여라. (난이도 : 상)
199. a, b, c ∈ R 이고 a + b + c ≥ a b c 일 때, a2 + b2 + c2 ≥ √3 · abc 가 항상 성립함을 보여라. (난이도 : 상)
200. 양수 a, b, c 에 대하여 a4 + b4 + c4 ≥ abc (a + b + c) 가 항상 성립함을 보여라. (난이도 : 하)
풀이 2.
전형적인 재배열 부등식 문제이다.
입력: 2025.12.08 15:51
'▶ 자연과학 > ▷ 대수학' 카테고리의 다른 글
| 【대수학】 부등식 증명 문제 [251-300] (0) | 2025.12.09 |
|---|---|
| 【대수학】 부등식 증명 문제 [201-250] (0) | 2025.12.09 |
| 【대수학】 부등식 증명 문제 [101-150] (0) | 2025.12.09 |
| 【대수학】 부등식 증명 문제 [51-100] (0) | 2025.12.09 |
| 【대수학】 부등식 증명 문제 [01-50] (0) | 2025.12.09 |
최근댓글