인류 마지막 시험 ― 유기화학편
추천글 : 【유기화학】 유기화학 목차
이 문제들은 Humanity's Last Exam에서 발췌된 문제입니다.
문제 1. ORCA 버전 5.0에서 dibenzo[ghi,mno]fluoranthene(또 corannulene로도 알려짐)와 diacenaphtho[3,2,1,8-cdefg:3',2',1',8'-lmnop]chrysene의 반전 장벽을 계산했습니다. 저는 PBE0 함수, def2-SVP 기저함수, defgrid2 그리드, 그리고 D3BJ 분산 보정을 사용했습니다. dibenzo[ghi,mno]fluoranthene의 반전 장벽은 10 kcal/mol이었고, diacenaphtho[3,2,1,8-cdefg:3',2',1',8'-lmnop]chrysene의 장벽은 49 kcal/mol이었습니다. 반전 장벽을 구하기 위해 각 분자의 구조를 최적화한 뒤, 반전에 해당하는 전이상태를 찾았습니다. 최적화된 분자의 에너지와 전이상태 구조의 에너지 차이에 627.5라는 계수를 곱한 값이 반전 장벽입니다. triacenaphtho[3,2,1,8-cdefg:3',2',1',8'-ijklm:3'',2'',1'',8''-opqra]triphenylene 화합물에 대해, 반전 장벽이 kcal/mol 단위로 얼마가 될지(정수 정확도) 써 주실 수 있나요? 위에 나열한 화합물들, 그들의 반전에 대한 전이상태, 그리고 반전 장벽이 포함된 그림을 첨부했습니다. 시각화에는 Chemcraft 프로그램을 사용했습니다.

답 1. 273
문제 2. 2014년에 Zakarian 연구팀은 (−)-Maoecrystal V의 enantioselective synthesis를 보고했습니다. 보고된 단계 중 하나에서, 중간체 화합물 1을 5당량의 메틸마그네슘 브로마이드(MeMgBr)로 높은 온도에서 처리하는 특이한 반응이 포함되어 있습니다. 반응 후 workup 및 정제를 거친 결과, 주요 생성물 하나만 91% 수율로 얻어졌습니다. 이 주요 생성물은 무엇이며, 어떤 메커니즘으로 형성되었나요?
A. (R)-(7-(1-hydroxy-2-methylpropan-2-yl)-7,8-dihydro-[1,3]dioxolo[4,5-e]benzofuran-8,8-diyl)dimethanol; 중간체 1의 benzyl 및 methoxybenzyl 보호기가 메틸마그네슘 브로마이드의 공격을 받아 절단되었다.
B. (2R,3S)-3-((benzyloxy)methyl)-3-(hydroxymethyl)-2-(1-((4-methoxybenzyl)oxy)-2-methylpropan-2-yl)-2,3-dihydrobenzofuran-4,5-diol; benzodioxole 고리가 메틸마그네슘 브로마이드에 의해 단순히 절단되었다.
C. (4aR,5R)-4a-((benzyloxy)methyl)-5-(1-((4-methoxybenzyl)oxy)-2-methylpropan-2-yl)-4a,5-dihydro-4H-[1,3]dioxepino[6,5,4-cd]benzofuran-9-ol; 메틸마그네슘 브로마이드가 먼저 자유 알코올을 deprotonation하여 알콕사이드를 만들고, 이 알콕사이드가 benzodioxole 고리를 친핵공격하여 고리를 열었다.
D. (2R,3S)-3-((benzyloxy)methyl)-5-ethoxy-3-(hydroxymethyl)-2-(1-((4-methoxybenzyl)oxy)-2-methylpropan-2-yl)-2,3-dihydrobenzofuran-4-ol; 자유 알코올이 탈양성자화된 뒤, 메틸마그네슘 브로마이드가 알콕사이드 및 인접한 benzodioxole의 산소와 배위 결합하여 benzodioxole이 절단되고 methyleneoxonium 종이 생성되었으며, 이 methyleneoxonium 종을 메틸마그네슘 브로마이드가 공격했다.
E. (2R,3S)-3-((benzyloxy)methyl)-4-ethoxy-3-(hydroxymethyl)-2-(1-((4-methoxybenzyl)oxy)-2-methylpropan-2-yl)-2,3-dihydrobenzofuran-5-ol; 자유 알코올이 탈양성자화된 뒤, 메틸마그네슘 브로마이드가 알콕사이드 및 인접한 benzodioxole의 산소에 배위하고, 배위된 메틸마그네슘 브로마이드가 분자내로 benzodioxole을 공격했다.
답 2. D

문제 3. 다음의 ¹H NMR 데이터는 첨부된 화합물 A, B, C, D, E 중 하나에 해당합니다. 데이터에는 화학적 이동(chemical shift, ppm), 적분비, 그리고 다중도(multiplicity) 정보가 포함되어 있습니다. 첨부된 화학 구조와 화학적 이동, 적분값을 바탕으로, 이 ¹H NMR 데이터가 A, B, C, D, E 중 어떤 화합물에 해당하는지 판별해 주세요.

¹H NMR : 8.19 (1H, m), 7.79 (1H, m), 7.47 (1H, m), 7.38 (1H, m), 6.98 (1H, m), 6.63 (1H, m), 6.61 (1H, m), 4.19 (4H, m), 3.63 (4H, m), 3.21 (2H, m), 2.83 (2H, m), 1.98 (2H, m).
A. B
B. D
C. E
D. C
E. A
답 3. A
문제 4. 첨부된 이미지의 맨 위에 파란색으로 표시된 생성물에 대해, 가능한 합성 경로가 총 5가지(A, B, C, D, E) 제시되어 있습니다. 이 중 4개는 오류가 있고 1개만 올바른 합성입니다. 올바른 합성 경로가 A, B, C, D, E 중 무엇인지 알려주세요.

A. A
B. D
C. E
D. B
E. C
답 4. E
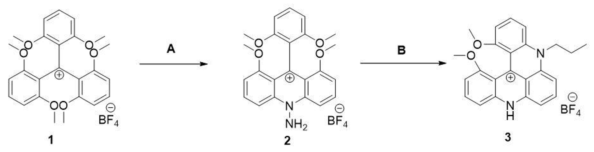
문제 5. tris(2,6-dimethoxyphenyl)methylium tetrafluoroborate를 A와 반응시켜 화합물 2를 만든 뒤, 이 화합물 2가 B와 반응하여 dimethoxy quinacridinium tetrafluoroborate (3)를 형성합니다. 이때 시약 A와 B는 무엇인가요?

답 5. A = NH2NH2, B = CH3CH2CH2NH2
문제 6. 화합물 1과 2를 10 mol%의 X와 50% 수산화칼륨(KOH) 수용액 5당량 존재하에 20 °C에서 3시간 반응시키면 화합물 A가 생성된다. 화합물 A의 분자식을 쓰시오.

답 6. C18H16O3
문제 7. 이미지에 제시된 NMR 스펙트럼을 바탕으로, 왼쪽에 나열된 약물 후보 구조들 중에서 가장 가능성이 높은 구조를 고르시오.

A. A–G
B. B–G
C. C–L
D. A–G 또는 B–G
E. D–L
답 7. E
문제 8. 이 열적 변환 과정에서는 두 가지 pericyclic reaction이 일어납니다. 이때 포함되는 구체적인 반응 종류는 무엇인가요?

답 8. 4π conrotatory, 6π disrotatory
문제 9. 화합물 A를 피리디늄 클로라이드(pyridinium chloride)와 함께 200 °C에서 1.5시간 반응시킨 뒤, 48% HBF₄ 수용액으로 반응을 종결(quench)하여 Trioxatriangulenium tetrafluoroborate를 생성하였다. 이때 화합물 A는 무엇인가?

답 9. Tris(2,6-dimethoxyphenyl)methylium ion
문제 10. 이 변환 과정에서는 광화학적으로 허용되는 pericyclic reaction이 두 가지 일어납니다. 이때 포함되는 반응의 종류는 무엇인가요?

답 10. [2s+2s], 4π disrotatory electrocyclization
문제 11. 이 에스터화(esterification) 반응에서, 반응식에 표시된 네 개의 입체중심(stereocenter)에 대해 왼쪽에서 오른쪽 순서로 각각의 올바른 입체화학 배정인 (R) 또는 (S)를 제시하시오.

답 11. (R), (S), (S), (S)
문제 12. 제시된 합성은 출발 디케톤에 이중 Favorskii 재배열(double Favorskii rearrangement)을 적용하여 쿠반 다이카복실산(cubane dicarboxylic acid)을 생성합니다. 제공된 탄소 원자 번호 표기를 사용했을 때, 이론적으로 쿠반 생성물에서 카복실산(-CO₂H)으로 치환될 수 있는 두 개의 탄소 원자 쌍은 무엇인가요? 가능한 경우는 총 4가지입니다. 정답은 다음 형식으로 제시하세요: (a,b), (c,d), (e,f), (g,h) (a–h는 원자 번호)

답 12. B
문제 13. 이 이중 분자내 Schmidt 반응(double intramolecular Schmidt reaction)에서 예상되는 생성물(들)은 무엇인가?

A. A
B. B
C. C
D. D
E. E
F. F
G. A, B, C의 혼합물
H. D, E, F의 혼합물
답 13. E
문제 14. 주어진 락탐(lactam)들을 가장 큰 변형/반응성을 가진 것부터 가장 작은 변형/반응성을 가진 것까지 순서대로 나열하시오.

답 14. C, A, B
문제 15. 다음은 분자내 Heck 반응입니다. 생성물에서는 원래와 별도로 분자 내 어딘가에 추가적인 탄소–탄소 이중결합(새 알켄)이 하나 더 형성되어 있습니다. 이 생성물에서 새로 생긴 알켄은 어떤 두 탄소 원자 사이(C 번호 기준)에 있나요? 정답은 다음 형식으로 쓰세요: “CX and CY” (X, Y = 생성물에서의 탄소 원자 번호)

답 15. C3, C4
문제 16. PCC를 이용한 Babler–Dauben 산화(Babler–Dauben oxidation)에서, 주어진 분자식의 생성물에 카보닐기(C=O)가 형성됩니다. 생성물에서 이 카보닐기가 위치한 탄소 원자 번호는 무엇인가요? 정답은 다음 형식으로 쓰세요: “CX” (X = 탄소 원자 번호)

답 16. C2
문제 17. 다음 반응에서 생성되는 세 가지 생성물(A, B, C)의 구조는 무엇인가요?

○ 생성물 A의 분자식 : C14H20N2O3
○ 생성물 B의 분자식 : C12H14N2O3
○ 생성물 C의 분자식 : C11H16N2O3
답 17. A : methyl 5-(2-acetamidoethyl)-2,3-dihydro-1 H-pyrrolizine-6-carboxylate, B : 7a-(2-oxopyrrolidine-1-carbonyl)-5,6,7,7a-tetrahydro-3 H-pyrrolizin-3-one, C : 1-(acetylprolyl)pyrrolidin-2-one
문제 18. (3,4-dihydro-2H-pyrrol-5-yl)proline 1 g과 methyl propiolate 4 mL의 혼합물에, 신선하게 증류한 무수 아세트산(acetice anhydride) 10 mL에 트리에틸아민 0.02 mL를 녹여 0 °C로 냉각한 용액을 가하였다. 혼합물은 빠르게 균질해졌고, 70 °C에서 30분간 교반하였다. 반응 혼합물로부터 세 가지 생성물(A, B, C)이 분리되었다. 생성물 A의 분자식은 C14H20N2O3, 생성물 B의 분자식은 C12H14N2O3, 생성물 C의 분자식은 C11H16N2O3이다. A, B, C의 IUPAC 이름은 무엇인가?

답 18. (답 추가 필요함)
이 반응에서 가장 쉽게 파악할 수 있는 점은, 이것이 고전적인 Huisgen cycloaddition(휘스겐 고리첨가) 조건에 해당한다는 것이다. 반응은 아실화된 아미노산(또는 유사 유도체)의 cyclodehydration로 시작한다. 따라서 생성물 중 하나는 고리첨가 생성물일 것이다(다만, 이때 cycloreversion 과정에서 방출되는 이소시아네이트는 유도체 형태일 가능성이 있다). 이 시스템은 고리첨가 경로와 단계적 경로가 서로 경쟁하는 예시다. 또 다른 생성물은, propiolate와 mesoionic 중간체가 고리첨가 생성물과 동일한 배향으로 결합을 시작하지만, Michael 반응으로 진행한 뒤 후속 분자내 acylation/fragmentation(아실화/분해)을 거치는 경로로 생성된다. 세 번째 생성물은 mesoionic 중간체가 용매와 반응해서 생긴 것이다. 이런 유형의 반응은 아미노산 화학에서 전례가 전혀 없는 것은 아니며(예 : Dakin–West 반응), 다만 이 시스템에서는 예상 밖의 결과였다.
문제 19. 세 가지 생성물 A, B, C의 이름은 무엇인가요? 이 반응에서 (3,4-dihydro-2H-pyrrol-5-yl)proline은 먼저 무수 아세트산(acetic anhydride)에 의해 아실화(acylation)되어 혼합 무수물(mixed anhydride)을 형성합니다. 이어서 디하이드로피롤(dihydropyrrole)에 의한 분자내 아실화(intramolecular acylation)가 일어나며, 그 결과 삼환성(tricyclic) 이미늄 이온 중간체가 생성됩니다. 이 중간체는 빠르게 deprotonation되어, 반응성 종으로서 mesoionic 1,3-imidazolium-4-olate 핵을 형성합니다. 이 종은 서로 경쟁하는 세 가지 경로로 분기하여 세 가지 생성물(A, B, C)을 만듭니다.

A의 생성
1,3-imidazolium-4-olate의 예상되는 거동은 methyl propiolate를 디폴라로필(dipolarophile)로 이용하는 Huisgen 고리첨가(Huisgen cycloaddition) 반응입니다. 이 고리첨가 반응은 높은 위치선택성(regioselectivity)을 보이며, imidazolium 고리의 C5가 propiolate의 β-탄소(beta-carbon)와 결합하는 배향을 선호합니다. 그 결과 수명이 짧은 사환성(tetracyclic) 중간체가 형성됩니다. 이후 cycloreversion이 일어나 고리가 열리면서, 연결되어 있던 이소시아네이트(isocyanate)가 방출되고 새로운 중간체가 만들어집니다. 반응 조건에서 이 이소시아네이트는 가수분해/수화(hydration)되어 카바믹산(carbamic acid)이 되고, 이는 반응 조건에서 자발적으로 탈탄산(decarboxylation)됩니다. 그 결과 생긴 아민(amine)은 무수 아세트산에 의해 아세틸화(acetylation)되며, 최종적으로 분리되는 생성물 A는 일차 아마이드입니다.
B의 생성
고리첨가 대신, 1,3-imidazolium-4-olate는 methyl propiolate와 Michael 반응에 참여할 수 있습니다. 이 경우에도 imidazolium 고리의 C5가 propiolate의 β-탄소와 결합하지만, 고리첨가는 일어나지 않습니다. 이어서 아세트산(acetic acid)이 이미늄 이온에 첨가되어 C2 위치에 아세테이트(acetate) 치환기가 도입됩니다. Michael 부가체의 (E)/(Z) 이성질화(equilibration)로 인해 (Z)-디아스테레오머가 분자내 아실화 반응으로 소모될 수 있는데, 이때 에스터(ester)와 N1 사이의 분자내 아실화로 아실 암모늄 이온(acyl ammonium ion)이 형성됩니다. 이후 C2 아세테이트의 탈아실화(deacylation)가 일어나고, 생성된 쌍극이온성(zwitterionic) 중간체가 분해(fragmentation)되면서 아실 이미늄(N1)이 방출됩니다. 그 결과로 해당 bicyclic tetrahydro-3H-pyrrolizin-3-one과 연결된 imide가 형성되며, 이 tethered imide가 생성물 B로 분리됩니다.
C의 생성
C는 용매 역할을 하는 무수 아세트산과의 반응으로 형성되며, 기본적인 경로는 B의 생성과 유사합니다. 1,3-imidazolium-4-olate 중간체는 무수 아세트산에 의해 C5에서 아실화되는데(이는 Dakin–West 반응의 일부에 해당), 이어서 아세트산이 이미늄 이온에 첨가되어 C2 위치에 아세테이트가 형성됩니다. 또한 N1에서 두 번째 아세틸화가 일어나 아실 암모늄 이온이 만들어집니다. 그 다음 C2 아세테이트의 탈아실화가 일어나고, 생성된 쌍극이온성 중간체가 분해되면서 아실 이미늄(N1)이 방출됩니다. 이 과정의 결과로 아세틸 피롤리딘(acetyl pyrrolidine)과, B에서와 동일한 tethered imide가 생성되며, 이 tethered imide가 생성물 C로 분리됩니다.
답 19. A : methyl 5-(2-acetamidoethyl)-2,3-dihydro-1 H-pyrrolizine-6-carboxylate, B : 7a-(2-oxopyrrolidine-1-carbonyl)-5,6,7,7a-tetrahydro-3 H-pyrrolizin-3-one, C : 1-(acetylprolyl)pyrrolidin-2-one
문제 20. 다음 반응에서 생성되는 세 가지 생성물(A, B, C)의 구조는 무엇인가요?

생성물 A 분자식 : C14H20N2O3
○ ¹H NMR : 7.95 (bs, 1H), 6.14 (bt, J=2.3 Hz, 1H), 3.85 (t, J=7 Hz, 2H), 3.77 (s, 3H), 3.17 (bq, J=6 Hz, 2H), 2.97 (t, J=6.8 Hz, 2H), 2.80 (t, J=7 Hz, 2H), 2.49 (p, J=7.32 Hz, 2H), 2.00 (s, 3H), 1.76 (p, J=7, 2H)
○ ¹³C NMR : 171.3, 167.8, 136.3, 134.9, 110.5, 101.5, 51.7, 45.5, 38.3, 29.2, 28.4, 24.9, 24.3, 23.2
생성물 B 분자식 : C12H14N2O3
○ ¹H NMR : 7.58 (d, J=6.1 Hz, 1 H), 5.98 (d, J=6.1 Hz, 1 H), 3.87 (t, J=7.3 Hz, 2H), 3.68 (dt, J=11, 8 Hz, 1H), 3.36 (ddd, J=12, 9, 4 Hz, 1H), 2.67 (t, J=7.69 Hz, 2H), 2.47 (ddd, J=12, 10, 2 Hz, 1H), 2.28 (m, 1H), 2.12 (p, J=7 Hz, 2H), 2.10 (m, 1H), 1.81 (ddd, J=13, 12, 9 Hz, 1H)
○ ¹³C NMR : 175.6, 173.8, 169.3, 147.8, 129.1, 83.2, 47.2, 41.8, 33.9, 33.7, 28.2, 17.7
생성물 C 분자식 : C11H16N2O3
○ ¹H NMR : 5.41 (dd, J=9.6, 3.0 Hz, 1H), 3.79 (m, 2H), 3.60 (m, 1H), 3.49 (m, 1H), 2.54 (m, 2H), 2.28 (m, 1H), 2.03 (s, 3H), 1.93 (m, 5H)
○ ¹³C NMR : 168, 166.8, 164.9, 59.8, 48.4, 45.7, 33.8, 29.4, 24.6, 22.3, 17.5
답 20. A : methyl 5-(2-acetamidoethyl)-2,3-dihydro-1 H-pyrrolizine-6-carboxylate, B : 7a-(2-oxopyrrolidine-1-carbonyl)-5,6,7,7a-tetrahydro-3 H-pyrrolizin-3-one, C : 1-(acetylprolyl)pyrrolidin-2-one
문제 21. 첨부된 이미지에 제시된 플루오레세인(fluorescein) 분자를 기준으로, 어떤 작용기(chemical group)를 ‘케이징(caging)’에 사용하겠습니까? 또한, 특정 효소를 발현하는 세포(유전적으로 표적화된 세포)에서만 이 분자가 선택적으로 방출(release)되도록 하되, 같은 조직 내에 존재하지만 해당 효소를 발현하지 않는 주변 비발현 세포에서는 방출되지 않게 하는 전략은 무엇인가요?

A. OH 작용기를 아민 작용기로 변환한 뒤, EDC–NHS 결합을 이용해 아민을 가진 어떤 분자든 결합시키고, 유전적으로 표적화된 효소를 이용해 아마이드 결합을 언케이징(절단)하여 플루오레세인을 방출한다.
B. OH 작용기를 아세틸화된 화학 작용기로 변형하고, 유전적으로 표적 발현되는 효소를 이용해 아세틸기를 언케이징/제거**하여 플루오레세인의 세포 유형 특이적 방출을 가능하게 한다.
C. C–H 작용기를 이용해 C–H 기능화로 탄소 기반 분자를 결합시키고, 유전적으로 표적화된 효소를 이용해 C–C 결합을 절단하여 플루오레세인을 방출, 세포 유형 특이적 방출을 가능하게 한다.
D. COOH 작용기를 이용해 EDC–NHS 결합으로 아민을 가진 분자와 결합시키고, 유전적으로 표적화된 효소로 아마이드 결합을 언케이징(절단)하여 플루오레세인을 방출, 세포 유형 특이적 방출을 가능하게 한다.
E. OH 작용기를 사이클로프로필(cyclopropyl) 작용기로 변형하고, 유전적으로 표적 발현되는 효소를 이용해 사이클로프로필기를 언케이징/제거하여 플루오레세인의 세포 유형 특이적 방출을 가능하게 한다.
F. COOH 작용기를 환원하여 알데하이드로 만든 뒤, 알데하이드 핸들을 이용해 이민(imine) 결합으로 분자를 접합하고, 유전적으로 표적화된 효소를 이용해 이민 변형을 언케이징하여 플루오레세인을 방출, 세포 유형 특이적 방출을 가능하게 한다.
답 21. E
문제 22. 첨부된 이미지를 바탕으로, 생성물의 분자식은 무엇인가요?

답 22. C14H13N3OS
문제 23. 첨부된 이미지를 사용하여 생성물의 분자식을 결정하세요.

답 23. C7H11ClF3NO2
문제 24. DCM(디클로로메탄)에서 3-hydroxy-pyridine-2-carbaldehyde와 아닐린(aniline)을 실온에서 3시간 반응시켜 imine 중간체를 만든 다음, 반응 혼합물에 NaCN 1당량을 첨가하여 3시간 더 반응시킨 결과 화합물 A가 생성되었다. 화합물 A는 무엇인가?

답 24. N-(phenyl)-furo[2,3-c]pyridine-2,3-diamine
문제 25. 첨부된 이미지를 사용하여 다음 질문에 답하세요. 이 반응의 생성물의 IUPAC 명칭은 무엇인가요?

답 25. (Z)-3-(4-methoxybut-3-en-2-yl)cyclohexanon
문제 26. 28세
답 26. 진균
문제 27. 28세 여성이 터키
답 27. 진균
문제 28. 박사과정 동안
답 28. B
문제 29. 이 이미
답 29. 국소
문제 30. 28세
답 30. 진균
문제 31. 28세 여성이 터키
답 31. 진균
문제 32. 박사과정 동안
답 32. B
문제 33. 이 이미
답 33. 국소
문제 34. 28세
답 34. 진균
문제 35. 28세 여성이 터키
답 35. 진균
문제 36. 박사과정 동안
답 36. B
문제 37. 이 이미
답 37. 국소
문제 38. 28세
답 38. 진균
문제 39. 28세 여성이 터키
답 39. 진균
문제 40. 박사과정 동안
답 40. B
문제 41. 이 이미
답 41. 국소
문제 42. 28세
답 42. 진균
문제 43. 28세 여성이 터키
답 43. 진균
문제 44. 박사과정 동안
답 44. B
문제 45. 이 이미
답 45. 국소
문제 46. 28세
답 46. 진균
문제 47. 28세 여성이 터키
답 47. 진균
문제 48. 박사과정 동안
답 48. B
문제 49. 이 이미
답 49. 국소
문제 50. 28세
답 50. 진균
문제 51. 28세 여성이 터키
답 51. 진균
문제 52. 박사과정 동안
답 52. B
문제 53. 이 이미
답 53. 국소
문제 54. 28세
답 54. 진균
문제 55. 28세 여성이 터키
답 55. 진균
문제 56. 박사과정 동안
답 56. B
문제 57. 이 이미
답 57. 국소
문제 58. 28세
답 58. 진균
문제 59. 28세 여성이 터키
답 59. 진균
문제 60. 박사과정 동안
답 60. B
문제 61. 이 이미
답 61. 국소
문제 62. 28세
답 62. 진균
문제 63. 28세 여성이 터키
답 63. 진균
문제 64. 박사과정 동안
답 64. B
문제 65. 이 이미
답 65. 국소
문제 66. 28세
답 66. 진균
문제 67. 28세 여성이 터키
답 67. 진균
문제 68. 박사과정 동안
답 68. B
문제 69. 이 이미
답 69. 국소
문제 70. 28세
답 70. 진균
문제 71. 28세 여성이 터키
답 71. 진균
문제 72. 박사과정 동안
답 72. B
문제 73. 이 이미
답 73. 국소
문제 74. 28세
답 74. 진균
문제 75. 28세 여성이 터키
답 75. 진균
문제 76. 박사과정 동안
답 76. B
문제 77. 이 이미
답 77. 국소
문제 78. 28세
답 78. 진균
문제 79. 28세 여성이 터키
답 79. 진균
문제 80. 박사과정 동안
답 80. B
문제 81. 이 이미
답 81. 국소
문제 82. 28세
답 82. 진균
문제 83. 28세 여성이 터키
답 83. 진균
문제 84. 박사과정 동안
답 84. B
문제 85. 이 이미
답 85. 국소
문제 86. 28세
답 86. 진균
문제 87. 28세 여성이 터키
답 87. 진균
문제 88. 박사과정 동안
답 88. B
문제 89. 이 이미
답 89. 국소
문제 90. 28세
답 90. 진균
문제 91. 28세 여성이 터키
답 91. 진균
문제 92. 박사과정 동안
답 92. B
문제 93. 이 이미
답 93. 국소
문제 94. 28세
답 94. 진균
문제 95. 28세 여성이 터키
답 95. 진균
문제 96. 박사과정 동안
답 96. B
문제 97. 이 이미
답 97. 국소
문제 98. 28세
답 98. 진균
문제 99. 28세 여성이 터키
답 99. 진균
문제 100. 박사과정 동안
답 100. B
문제 101. 이 이미
답 101. 국소
문제 102. 28세
답 102. 진균
문제 103. 28세 여성이 터키
답 103. 진균
문제 104. 박사과정 동안
답 104. B
문제 105. 이 이미
답 105. 국소
문제 106. 28세
답 106. 진균
문제 107. 28세 여성이 터키
답 107. 진균
문제 108. 박사과정 동안
답 108. B
문제 109. 이 이미
답 109. 국소
문제 110. 28세
답 110. 진균
문제 111. 28세 여성이 터키
답 111. 진균
문제 112. 박사과정 동안
답 112. B
문제 113. 이 이미
답 114. 국소
문제 115. 28세
답 115. 진균
문제 116. 28세 여성이 터키
답 116. 진균
문제 117. 박사과정 동안
답 117. B
문제 118. 이 이미
답 118. 국소
문제 119. 28세
답 119. 진균
문제 120. 28세 여성이 터키
답 120. 진균
문제 121. 박사과정 동안
답 121. B
문제 122. 이 이미
답 122. 국소
문제 123. 28세
답 123. 진균
문제 124. 28세 여성이 터키
답 124. 진균
문제 125. 박사과정 동안
답 125. B
문제 126. 이 이미
답 126. 국소
문제 127. 28세
답 127. 진균
문제 128. 28세 여성이 터키
답 128. 진균
문제 129. 박사과정 동안
답 129. B
문제 130. 이 이미
답 130. 국소
문제 131. 28세
답 131. 진균
문제 132. 28세 여성이 터키
답 132. 진균
문제 133. 박사과정 동안
답 133. B
문제 134. 이 이미
답 134. 국소
문제 135. 28세
답 135. 진균
문제 136. 28세 여성이 터키
답 136. 진균
문제 137. 박사과정 동안
답 137. B
문제 138. 이 이미
답 138. 국소
문제 139. 28세
답 139. 진균
문제 140. 28세 여성이 터키
답 140. 진균
문제 141. 박사과정 동안
답 141. B
문제 142. 이 이미
답 142. 국소
입력: 2026.03.02 11:43
'▶ 자연과학 > ▷ 유기화학' 카테고리의 다른 글
| 【유기화학】 21-1강. 재배열반응과 고리반응 예제 (14) | 2025.07.18 |
|---|---|
| 【유기화학】 유기화학 목차 (155) | 2024.12.27 |
| 【유기화학】 28강. 분광학 (4) | 2024.12.27 |
| 【유기화학】 알케인의 구조이성질체와 그래프 이론 (0) | 2024.06.20 |
| 【유기화학】 방향족성 판단 예제 (2) | 2024.05.28 |
최근댓글