6-14강. RLC 병렬회로
추천글 : 【회로이론】 6강. RLC 예제
1. 문제. RLC 병렬회로 [본문]
2. 풀이 [본문]
1. 문제. RLC 병렬회로 [목차]
Figure. 1. 문제
(I = 400 mA, R = 400 Ω)
2. 풀이 [목차]
⑴ 초기조건

⑵ 풀이 1

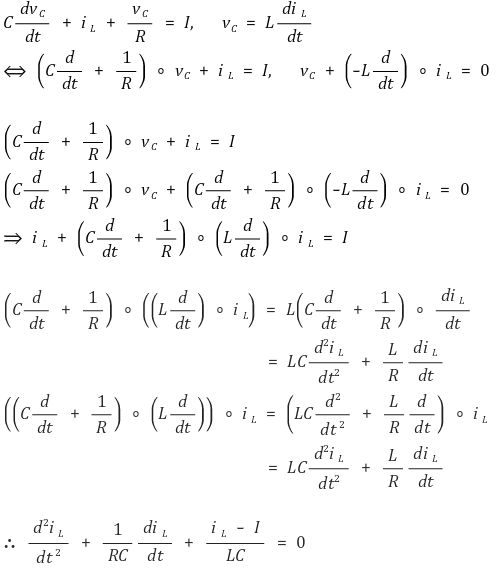
⑶ 풀이 2

① 미분연산은 사칙연산처럼 결합법칙이 적용
② 덧셈에 대한 교환법칙 성립
③ 곱셈에 대한 교환법칙 불성립 : 곱셈의 순서를 바꾸면 의미가 상실
⑷ 풀이 3

입력: 2016.01.18 09:18
'▶ 자연과학 > ▷ 회로이론' 카테고리의 다른 글
| 【회로이론】 6-16강. 등가회로의 존재성 반증 (0) | 2016.06.27 |
|---|---|
| 【회로이론】 6-15강. RLC 복합회로 (0) | 2016.06.27 |
| 【회로이론】 6-13강. 커패시터의 안정, 불안정 (0) | 2016.06.27 |
| 【회로이론】 6-12강. Comparator of Capacity Voltage (0) | 2016.06.27 |
| 【회로이론】 6-11강. 순차적 스위칭(sequential switching) (0) | 2016.06.27 |
최근댓글