2026학년도 대학수학능력시험 수학
추천글 : 【수학】 대학수학능력시험 수학 풀이
1. 91/4 × 3-1/2의 값은?
풀이.
(32)1/4 × 3-1/2 = 3(1/2 - 1/2) = 1
2. 함수 f(x) = 3x3 + 4x + 1에 대하여 limh→0 (f(1+h) - f(1)) / h의 값은?
풀이.
(준식) = f'(1) = 9x2 + 4 |x=1 = 13
3. 수열 {an}에 대하여 ∑k=1 to 4 (2ak - k) = 0일 때, ∑k=1 to 4 ak의 값은?
풀이.
2∑ak - ∑k = 2∑ak - 10 = 0 ⇔ ∑ak = 5
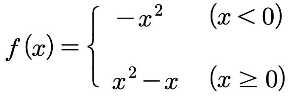
4. 함수

이 실수 전체의 집합에서 연속일 때, 상수 a의 값은?
풀이.
1 = f(1-0) = f(1+0) = 1 - 3 + a ⇔ a = 3
5. 함수 f(x) = (x + 2)(2x2 - x - 2)에 대하여 f'(1)의 값은?
풀이.
f'(x) = (2x2 - x - 2) + (x + 2)(4x - 1)
∴ f'(1) = (2 - 1 - 2) + 3 · 3 = 8
6. 1보다 큰 두 실수 a, b가 logab = 3, log3 (b/a) = 1/2을 만족시킬 때, log9 ab의 값은?
풀이.
log b / log a = 3, log b - log a = log 3 · 0.5
∴ log b = 3 log a, log a = log 3 · 0.5 / 2,
log9 ab = log ab / log 9 = (log a + log b) / log 9 = 4 log a / log 9 = 0.5
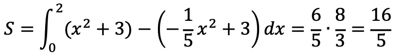
7. 두 곡선 y = x2 + 3, y = -0.2x2 + 3과 직선 x = 2로 둘러싸인 부분의 넓이는?

풀이.

8. sin θ + 3 cos θ = 0이고 cos(π - θ) > 0일 때, sin θ의 값은?
풀이.
cos θ = t < 0, sin θ > 0
√(1 - t2) = 3|t| ⇔ 1 - t2 = 9t2 ⇔ t = -1 / √10
sin θ = √(1 - t2) = √(1 - 1/10) = 3 / √10
9. 양수 a에 대하여 함수 f(x)를 f(x) = x3 + 3ax2 - 9a2x + 4라 하자. 직선 y = 5가 곡선 y = f(x)에 접할 때, f(2)의 값은
풀이.
f'(x) = 3x2 + 6ax - 9a2 = 3(x-a)(x+3a) = 0 ⇔ x = -3a, a
f(x)의 개형을 보면 왼쪽에 극대점, 오른쪽에 극소점을 갖는데 f(0) = 4이므로 y = 5에서 접하려면 극대점에서 접해야 함
f(-3a) = -27a3 + 27a3 + 27a3 + 4 = 27a3 + 4 = 5 ⇔ a3 = 1/27 ⇔ a = 1/3
f(2) = 8 + 12a - 18a2 + 4 = 12 + 4 - 2 = 14
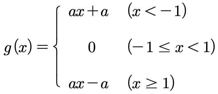
10. 상수 a (a > 1)에 대하여 곡선 y = ax - 2 위의 점 중 제1사분면에 있는 점 A를 지나고 y축에 평행한 직선이 x축과 만나는 점을 B, 곡선 y = ax - 2의 점근선과 만나는 점을 C라 하자. AB = BC이고 삼각형 AOC의 넓이가 8일 때, a × OB의 값은? (단, O는 원점이다.)
풀이.

A = (x, ax - 2), B = (x, 0), C = (x, -2)
AB = BC ⇔ ax - 2 = 2 ⇔ ax = 4
△AOC = 8 ⇔ x = 4
a × OB = ax = 41/4 × 4 = 21/2 × 22 = 22.5
11. 시각 t = 0일 때 원점을 출발하여 수직선 위를 움직이는 점 P가 있다. 실수 k에 대하여 시각이 t (t ≥ 0)일 때 점 P의 속도 v(t)가 v(t) = t2 - kt + 4이다. ⟨보기⟩에서 옳은 것만을 있는 대로 고른 것은?

풀이.
ㄱ. k = 0이면, 시각 t = 1일 때 점 P의 위치는 ∫t=0 to 1 v(t) dt = 1/3 + 4 = 13/4 (참)
ㄴ. k = 3이면, v(t) = t2 - 3t + 4 = (t-1.5)2 + 1.25 > 0이므로 운동 방향이 바뀌지 않음 (거짓)
ㄷ. k = 5이면, v(t) = t2 - 5t + 4 = (t-1)(t-4)이므로 t = 1에서 운동 방향이 바뀜, 그러므로 움직인 거리 = ∫t=0 to 1 (t2 - 5t + 4) dt + ∫t=1 to 2 (-t2 + 5t - 4) dt = (1/3 - 5/2 + 4) + (-7/3 + 5(4 - 1)/2 - 4) = 3 (참)
12. 등비수열 {an}이 2(a1 + a4 + a7) = a4 + a7 + a10 = 6을 만족시킬 때, a10의 값은?
풀이.
an = a1rn-1
2a1(1 + r3 + r6) = a1(r3 + r6 + r9) = a1r3(1 + r3 + r6) = 6
∴ 2 = r3, 2a1(1 + 2 + 4) = 14a1 = 6
∴ a10 = a1r9 = (6/14) × 23 = 24/7
13. 함수 f(x) = x2 - 4x - 3에 대하여 곡선 y = f(x) 위의 점 (1, -6)에서의 접선을 l이라 하고, 함수 g(x) = (x3 - 2x) f(x)에 대하여 곡선 y = g(x) 위의 점 (1, 6)에서의 접선을 m이라 하자. 두 직선 l, m과 y축으로 둘러싸인 도형의 넓이는?
풀이.
f'(1) = (2x-4)|x=1 = -2
l : y = -2(x-1) - 6 = -2x - 4
g'(1) = ((3x2 - 2)f(x) + (x3 - 2x)f'(x))|x=1 = f(1) - f'(1) = -6 + 2 = -4
m : y = -4(x - 1) + 6 = -4x + 10
-4x + 10 = -2x - 4 ⇔ 14 = 2x ⇔ x = 7넓이 = (1/2) × 14 × 7 = 49
14. 그림과 같이 AB = 3, BC = 4이고 ∠B = π/2인 직각삼각형 ABC가 있다. 선분 AB를 2 : 1로 내분하는 점을 D, 점 A를 중심으로 하고 반지름의 길이가 AD인 원이 선분 AC와 만나는 점을 E, 직선 AB가 이 원과 만나는 점 중 D가 아닌 점을 F라 하고, 호 EF 위의 점 G를 CG = 2√6이 되도록 잡는다. 세 점 C, E, G를 지나는 원 위의 점 H가 ∠HCG = ∠BAC를 만족시킬 때, 선분 GH의 길이는?

풀이.


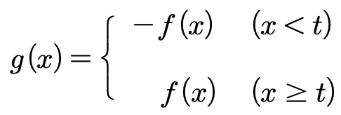
15. 함수 f(x)가

이고, 양수 a에 대하여 함수 g(x)를

이라 하자. 함수 h(x) = ∫0 to x (g(t) - f(t)) dt가 오직 하나의 극값을 갖도록 하는 a의 최댓값을 k라 하자. a = k일 때, k + h(3)의 값은?
풀이.

오른쪽은 a > 0이 어떤 값을 가져도 극값이 1개이다. 왜냐하면 g(x) - f(x) = ax - a - (x2 - x) = (x-1)(a - x)인데 a ≤ 1이면 위 그래프와 같이 나오고, a > 1이면 x = 1이 극점이 아니게 되고 (cf. 하트의 윗부분 모양이 됨) x = a가 극점이 되기 때문이다. 따라서 h(x)가 오직 하나의 극값을 가지려면 다음 조건을 만족해야 한다.
mina>0 ax + a - (-x2) subject to x ≤ -1 ≥ 0 ⇔ 0 < a ≤ 4 (∵ -a/2 ≤ -1과 -a/2 > -1로 나누어서 생각)
∴ k = 4
∴ k + h(3) = 4 + ∫0 to 1 (-x2 + x) dx + ∫1 to 3 (4x - 4 - x2 + x) dx = 15/2
16. 수열 {an}은 a1 = 1이고, 모든 자연수 n에 대하여 an+1 = n2an + 1을 만족시킨다. a3의 값을 구하시오.
풀이.
a1 = 1
a2 = a1 + 1 = 2
a3 = 4a2 + 1 = 9
17. 함수 f(x) = 4x3 - 2x의 한 부정적분 F(x)에 대하여 F(0) = 4일 때, F(2)의 값을 구하여라.
풀이.
F(x) = x4 - x2 + C
F(0) = C = 4
F(2) = 16 - 4 + C = 12 + C = 16
18. AB = 5, AC = 6이고 cos(∠BAC) = -3/5인 삼각형 ABC의 넓이를 구하시오.
풀이.
sin(∠BAC) = 4/5
△ABC = 1/2 × AB × AC sin(∠BAC) = 12
19. -2 ≤ x ≤ 2인 모든 실수 x에 대하여 부등식 -k ≤ 2x3 + 3x2 - 12x - 8 ≤ k가 성립하도록 하는 양수 k의 최솟값을 구하시오.
풀이.
f(x) = 2x3 + 3x2 - 12x - 8
f'(x) = 6x2 + 6x - 12 = 6(x2 + x - 2) = 6(x+2)(x-1)
f(x) ≤ max{f(-2), f(2), f(1)} = max{-16 + 12 + 24 - 8, 16 + 12 - 24 - 8, 2 + 3 - 12 - 8} = max{12, -4, -15} = 12
f(x) ≥ min{f(-2), f(2), f(1)} = -15
∴ k = 15
20. 수열 {an}이 다음 조건을 만족시킨다.

다음은 ∑k=1 to 12 ak + ∑k=1 to 5 a2k+1 의 값을 구하는 과정이다.

위의 (가)에 알맞은 식을 f(n)이라 하고, (나), (다)에 알맞은 수를 각각 p, q라 할 때, p × q / f(12) 의 값을 구하시오.
풀이.
(가) = (1/6) ((n+1)2 - n2) - (1/6) ((n+1) - n) = n/3 = f(n)
a1 + a2 = (2/3) a2 + 2/3 - 1/3 + 10 = (2/3) a2 + 31/3 ⇔ a2 = 31 - 3a1 = 10 = (나) = p
2a2k+1 + a2k+2 = 3 × f(2k+1) = 2k+1 이므로 (다) = 7 + 10 + (3 + 5 + 7 + 9 + 11) = 52 = q
∴ p × q / f(12) = 10 × 52 / 4 = 130
21. 최고차항의 계수가 양수인 삼차함수 f(x)와 실수 t에 대하여 함수

는 실수 전체의 집합에서 연속이고 다음 조건을 만족시킨다.

g(-5)의 값을 구하시오. (단, g(-1) ≠ -3.5 g(1))
풀이.
g(x)는 실수 전체의 집합에서 연속이므로 t = 0 또는 2이다. (잘 안 보이는 조건...)
(가) 조건에 의하여 g(0) = g(2) = 0이므로 f(0) = f(2) = 0을 얻을 수 있다.
따라서 f(x) = x(x-2) h(x) (단, h(x)는 우상향하는 직선함수) 를 얻을 수 있다.
또한, g(-1) > 0, -3.5 g(1) > 0을 쉽게 얻을 수 있다.
따라서 g(x) / (x(x-2)) 를 그래프로 나타내면 다음을 얻을 수 있다.

따라서 t = 2이고 자연수 m의 집합은 {2, 3}이다.
경우 1.
○ 2 = g(-1) = (-1) · (-1 - 2) · (-1) · h(-1) 이고, 3 = -3.5g(1) = (-3.5) · (1) · (1 - 2) · (-1) · h(1) 인 경우
○ h(x) = (-2/21) x - (16/21)이므로 우하향이므로 기각
경우 2.
○ 3 = g(-1) = (-1) · (-1 - 2) · (-1) · h(-1) 이고, 2 = -3.5g(1) = (-3.5) · (1) · (1 - 2) · (-1) · h(1) 인 경우
○ h(x) = (3/14) x - (11/14) 이므로 우상향이므로 채택
따라서 g(-5) = (-5) · (-5 - 2) · (-1) · h(-5) = 65
22. 곡선 y = log16(8x + 2) 위의 점 A(a, b)와 곡선 y = 4x-1 - 1/2 위의 점 B가 제1사분면에 있다. 점 A를 직선 y = x 에 대하여 대칭이동한 점이 직선 OB 위에 있고 선분 AB의 중점의 좌표가 (77/8, 133/8)일 때, a × b = q / p이다. p + q의 값을 구하시오. (단, O는 원점이고, p와 q는 서로소인 자연수이다.)
풀이.
A = (a, log16(8a+2))
B = (klog16(8a+2), ka) ∈ {(x, y) | y = 4x-1 - 1/2}
⇔ 4klog16(8a+2)-1 - 1/2 = ka
⇔ (8a+2)k = (4ka+2)2
위 식으로부터 k = 2를 얻을 수 있다.
중점의 좌표로부터 a + klog16(8a+2) = 77/4, ka + log16(8a+2) = 133/4 를 얻는다. 두 번째 식에 k를 곱한 뒤 변변 빼면 a = (77/4 - 133k/4) / (1-k2) 를 얻는다. k = 2를 대입하면 a = 63/4, b = log16(8a + 2) = 7/4 를 얻는다. 그러므로 a × b = (63 / 4) × (7/4) = 441/16 이므로 p + q = 457 이다.
(확률과 통계) 23. 네 문자 a, b, c, d 중에서 중복을 허락하여 3개를 택해 일렬로 나열하는 경우의 수는?
풀이.
4 × 4 × 4 = 64
(확률과 통계) 24. 두 사건 A, B에 대하여 P(A) = 2/5, P(B | A) = 1/4, P(A ∪ B) = 1일 때, P(B)의 값은?
풀이.
P(A ∩ B) = P(A) P(B | A) = 1/10
P(A) + P(B) - P(A ∩ B) = P(A ∪ B) (∵ 포함배제의 원리)
∴ P(B) = P(A ∪ B) - P(A) + P(A ∩ B) = 1 - 2/5 + 1/10 = 7/10
(확률과 통계) 25. 주머니에 숫자 1, 2, 3, 4, 5가 하나씩 적혀 있는 흰 공 5개와 숫자 2, 3, 4, 5, 6이 하나씩 적혀 있는 검은 공 5개가 들어 있다. 이 주머니에서 임의로 2개의 공을 동시에 꺼낼 때, 꺼낸 2개의 공이 서로 같은 색이거나 꺼낸 2개의 공에 적힌 수가 서로 같을 확률은?

풀이.
P = (#{흰색 공 2개} + #{검은색 공 2개} + #{같은 수} - #{같은 색, 같은 수} ) / {임의의 공 2개}
P = (5C2 + 5C2 + 4 - 0) / 10C2 = 8/15
(확률과 통계) 26. 평균이 m이고 표준편차가 5인 정규분포를 따르는 모집단에서 크기가 36인 표본을 임의추출하여 얻은 표본평균을 이용하여 구한 모평균 m에 대한 신뢰도 99%의 신뢰구간이 1.2 ≤ m ≤ a이다. a의 값은? (단, Z가 표준정규분포를 따르는 확률변수일 때, P(|Z| ≤ 2.58) = 0.99로 계산한다.)
풀이.
a - 1.2 = 2 × 2.58 × 5/√36 ⇔ a = 5.5
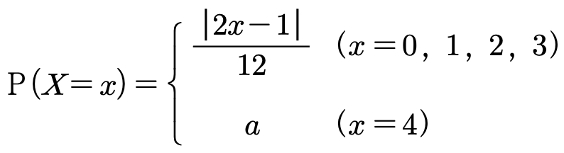
(확률과 통계) 27. 이산확률변수 X가 가지는 값이 0부터 4까지의 정수이고

일 때, V((1/a) X)의 값은? (단, a는 0이 아닌 상수이다.)
풀이.

(확률과 통계) 28. 16개의 공과 1부터 6까지의 자연수가 하나씩 적혀 있는 여섯 개의 빈 상자가 있다. 한 개의 주사위를 사용하여 다음 시행을 한다: 주사위를 한 번 던져 나온 눈의 수가 k일 때,
○ k가 홀수이면 1, 3, 5가 적힌 상자에 공을 각각 1개씩 넣고,
○ k가 짝수이면 k의 약수가 적힌 상자에 공을 각각 1개씩 넣는다.
이 시행을 4번 반복한 후 여섯 개의 상자에 들어 있는 모든 공의 개수의 합이 홀수일 때, 3이 적힌 상자에 들어 있는 공의 개수가 2가 적힌 상자에 들어 있는 공의 개수보다 1개 더 많을 확률은?

풀이.
k = 1, 3, 5 → 3개 (1, 3, 5) [홀수]
k = 2 → 2개 (1, 2) [짝수]
k = 4 → 3개 (1, 2, 4) [홀수]
k = 6 → 4개 (1, 2, 3, 6) [짝수]
모든 공의 개수의 합이 홀수일 확률 = P(홀수 3개, 짝수 1개) + P(홀수 1개, 짝수 3개)
모든 공의 개수의 합이 홀수일 확률 = 4 × (2/6) × (4/6)3 + 4 × (4/6) × (2/6)3 (①)
이제 모든 공의 개수의 합이 홀수일 때 상자 3이 상자 2보다 1개 많을 확률을 계산하자.
홀수 3개, 짝수 1개일 때 k = 1, 3, 5가 홀수 3개에 모두 할당되면 상자 3에 공이 너무 많아진다
홀수 3개, 짝수 1개일 때 k = 1, 3, 5가 홀수 1개에만 할당되면 나머지 두 홀수에는 k = 4가 할당되고 그러면 상자 2에 공이 너무 많아진다.
홀수 3개, 짝수 1개일 때 k = 1, 3, 5가 2번 나타나고 k = 4가 1번 나타나며 자연스럽게 k = 6이 짝수에 할당돼야 한다. (②)
홀수 1개, 짝수 3개일 때 k = 1, 3, 5가 홀수 1개에 할당되고, 자연스럽게 k = 6이 짝수 3개에 할당돼야 한다. (③)
모든 공의 개수의 합이 홀수일 때 상자 3이 상자 2보다 1개 많을 확률 = 확률 ② + 확률 ③
모든 공의 개수의 합이 홀수일 때 상자 3이 상자 2보다 1개 많을 확률 = 4 × 3 × (3/6)2 × (1/6) × (1/6) + 4 × (3/6) × (1/6)3 (④)
따라서 ① ÷ ④ = 3/16
(확률과 통계) 29. 6 이하의 자연수 a에 대하여 한 개의 주사위와 한 개의 동전을 사용하여 다음 시행을 한다.
○ 주사위를 한 번 던져 나온 눈의 수가 a보다 작거나 같으면 동전을 5번 던져 앞면이 나온 횟수를 기록하고,
○ 나온 눈의 수가 a보다 크면 동전을 3번 던져 앞면이 나온 횟수를 기록한다.
이 시행을 19200번 반복하여 기록한 수가 3인 횟수를 확률변수 X라 하자. E(X) = 4800일 때, P(X ≤ 4800 + 30a)의 값을 오른쪽 표준정규분포표를 이용하여 구한 값이 k이다. 1000 × k의 값을 구하시오.

풀이.
4800 / 19200 = 1/4 = (a/6) × 5C3 × (1/2)5 + (1 - a/6) × 3C3 × (1/2)3 ⇔ a = 4
Var(X) = npq = 19200 × (1/4) × (3/4) = 602
P(X ≤ 4800 + 30a) = P(Z = (X - 4800) / 60 ≤ 0.5a = 2) = 0.5 + 0.477 = 0.977 = k
∴ 1000 × k = 977
(확률과 통계) 30. 비어 있는 주머니 10개가 일렬로 놓여 있고, 공 8개가 있다. 각 주머니에 들어 있는 공의 개수가 2 이하가 되도록 공을 주머니에 남김없이 나누어 넣을 때, 다음 조건을 만족시키는 경우의 수를 구하시오. (단, 공끼리는 서로 구별하지 않는다.)
○ (가) 들어 있는 공의 개수가 1인 주머니는 4개 또는 6개이다.
○ (나) 들어 있는 공의 개수가 2인 주머니와 이웃한 주머니에는 공이 들어 있지 않다.
풀이.
경우 1. 공의 개수가 1인 주머니가 4개 → 2인 주머니 2개가 양쪽 끝에 붙어 있음 : 6C4 = 15
경우 2. 공의 개수가 1인 주머니가 4개 → 2인 주머니 1개가 끝에 붙어 있고, 나머지 2인 주머니 1개가 1칸 떨어져 있음 : 2 × 6C4 = 30
경우 3. 공의 개수가 1인 주머니가 4개 → 2인 주머니 1개가 끝에 붙어 있고, 나머지 2인 주머니가 2칸 이상 이격 / 끝에 없음 : 2 × 6 × 5C4 = 60
경우 4. 공의 개수가 1인 주머니가 4개 → 2인 주머니 2개가 어느 것도 끝에 있지 않음 / 1칸 이격 : 6 × 5C4 = 30
경우 5. 공의 개수가 1인 주머니가 4개 → 2인 주머니 2개가 어느 것도 끝에 있지 않음 / 2칸 이상 이격 : 15 × 4C4 = 15
경우 6. 공의 개수가 1인 주머니가 6개 → 2인 주머니 1개가 끝에 붙어 있음 : 2 × 8C6 = 56
경우 7. 공의 개수가 1인 주머니가 6개 → 2인 주머니 1개가 끝에 붙어 있지 않음 : 8 × 7C6 = 56
답은 이들을 모두 합한 262개
(미적분) 23. limx→0 tan 6x / 2x 의 값은?
풀이.
tan 6x ≃ 6x
답은 3
(미적분) 24. 다음 값은?

풀이.

(미적분) 25. 수열 {an}이 모든 자연수 n에 대하여 √(9n2 - 5) + 2n < an < 5n+1 을 만족시킬 때, limn→∞ (an+2)2 / (nan + 5n2 - 2) 의 값은?
풀이.
an = 5n 으로 두면, 25 / (5 + 5) = 5/2
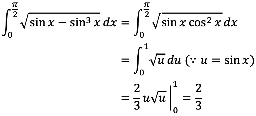
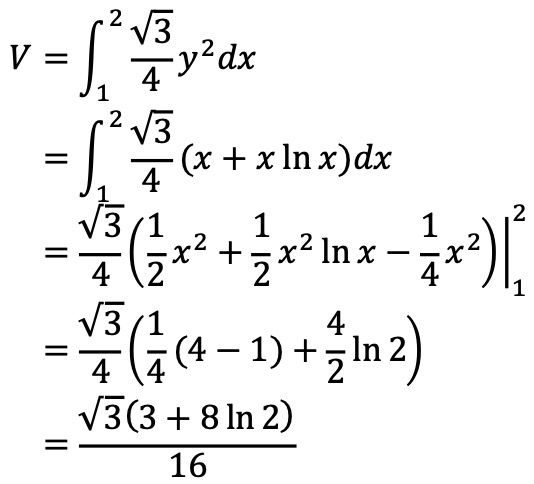
(미적분) 26. 그림과 같이 곡선 y = √(x + x ln x) 와 x축 및 두 직선 x = 1, x = 2로 둘러싸인 부분을 밑면으로 하는 입체도형이 있다. 이 입체도형을 x축에 수직인 평면으로 자른 단면이 모두 정삼각형일 때, 이 입체도형의 부피는?

풀이

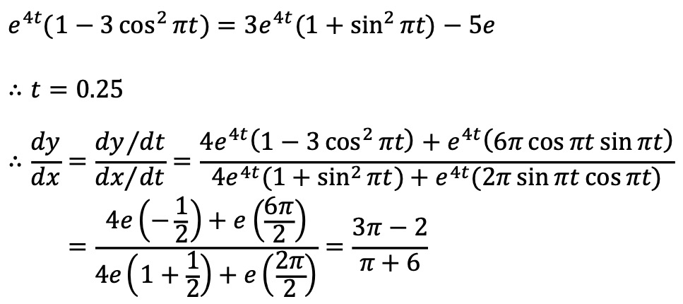
(미적분) 27. 매개변수 t로 나타내어진 곡선 x = e4t(1 + sin2πt), y = e4t(1 - 3cos2πt)를 C라 하자. 곡선 C가 직선 y = 3x - 5e와 만나는 점을 P라 할 때, 곡선 C 위의 점 P에서의 접선의 기울기는?
풀이

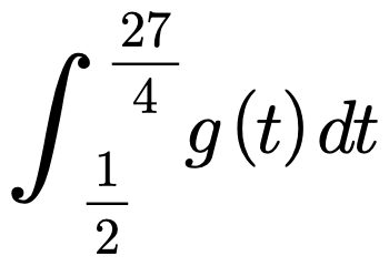
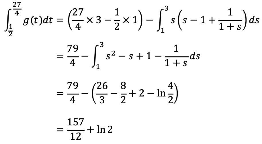
(미적분) 28. 함수 f(x) = (1/2) x2 - x + ln (1+x) 와 양수 t에 대하여 점 (s, f(s)) (s > 0)에서 y축에 내린 수선의 발과 곡선 y = f(x) 위의 점 (s, f(s))에서의 접선이 y축과 만나는 점 사이의 거리가 t가 되도록 하는 s의 값을 g(t)라 하자. 다음 값은?

풀이
점 (s, f(s))에서 y축에 내린 수선의 발 : (0, f(s))
점 (s, f(s))에서의 접선 : y = (s - 1 + 1 / (1+s)) (x-s) + f(s)
점 (s, f(s))에서의 접선이 y축과 만나는 점 : f(s) - s(s - 1 + 1 / (1+s)) < f(s)
t = s(s - 1 + 1 / (1+s)) → s = g(t)
참고로, g(t)는 t에 대한 증가함수 (∵ 우변은 증가함수 곱이므로 증가함수 → 양변 모두 증가함수)
t = 1/2일 때, s = 1
t = 27/4일 때, s = 3
따라서 역함수의 적분공식에 따라 다음을 얻는다.

(미적분) 29. 첫째항과 공차가 같은 등차수열 {an}과 등비수열 {bn}이 다음 조건을 만족시킨다.
○ 어떤 자연수 k에 대하여 bk+i = 1 / ai - 1 (i = 1, 2, 3)이다.
부등식

이 성립할 때, a2 × ∑n=1 to ∞ b2n = q / p이다. p + q의 값을 구하시오. (단, a1 ≠ 0이고, p와 q는 서로소인 자연수이다.)
풀이
an = na1, bn = b1 rn-1
b1 rk = 1 / a1 - 1
b1 rk+1 = 1 / (2a1) - 1
b1 rk+2 = 1 / (3a1) - 1
∴ r / a1 - r = 1 / (2a1) - 1, r / (2a1) - r = 1 / (3a1) - 1
변변 나누면 r이 약분되어 a1 = 1/4를 먼저 얻을 수 있고, 이를 대입하면 r = 1/3을 얻는다.
주어진 부등식으로부터 ∑ bn - ∑ 1 / (anan+1) = b1 / (1 - 1/3) - 4 ∈ (0, 30) ⇔ 8/3 < b1 < 68 / 3을 얻는다.
b1 = (1 / a1 - 1) / rk = 3k+1, k ∈ ℕ과 위 b1의 범위로부터 b1 = 9, k = 1을 얻을 수 있다.
그러므로 a2 × ∑b2n = (1/2) × b1 / (1 - 1/9) = 81 / 16 = q / p이므로 p + q = 97이다.
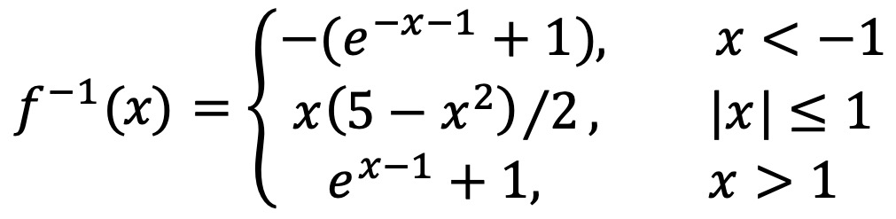
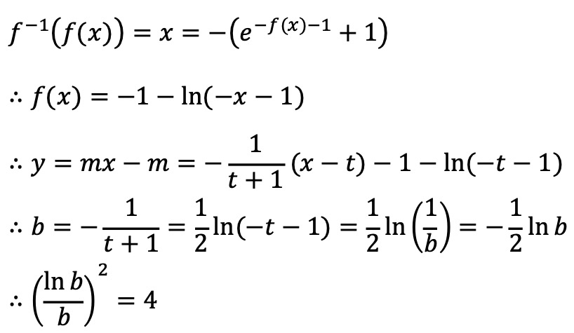
(미적분) 30. 실수 전체의 집합에서 증가하는 연속함수 f(x)의 역함수 f-1(x)가 다음 조건을 만족시킨다.
○ (가) |x| ≤ 1일 때, 4 × (f-1(x))2 = x2(x2 - 5)2이다.
○ (나) |x| > 1일 때, |f-1(x)| = e|x|-1 + 1이다.
실수 m에 대하여 기울기가 m이고 점 (1, 0)을 지나는 직선이 곡선 y = f(x)와 만나는 점의 개수를 g(m)이라 하자. 함수 g(m)이 m = a, m = b (a < b)에서 불연속일 때, g(a) × (limm→a+ g(m)) + g(b) × (ln b / b)2의 값을 구하시오. (단, limx→∞ ln x / x = 0)
풀이
f(x)가 증가함수이므로 f-1(x)도 증가함수이다. 따라서

이를 y = x 반전하면 f(x) 개형을 그릴 수 있다.

첫 불연속은 a = 0에서 발생한다. 따라서 g(a) = 1, limm→a+ g(a) = 3
두 번째 불연속 b는 왼쪽 로그가지에서 발생한다. 따라서 g(b) = 2
해당 부분의 접선의 방정식이 y = m(x-1)이므로,

그러므로 (준식) = 1 × 3 + 2 × 4 = 11
(기하) 23. 두 벡터 a = (4, 1), b = (-1, -1)에 대하여 a + b의 모든 성분의 합은?
풀이
a + b = (3, 0) → 3
(기하) 24. 포물선 y2 = 12(x-2)의 초점과 준선 사이의 거리는?
풀이
y2 = 12x를 고려해도 충분하다.
초점 : y2 = 4px로부터 p = 3
준선 : x = -p
이 둘 사이의 거리는 6
(기하) 25. 좌표공간의 점 A(3, -1.5, -2)를 yz 평면에 대하여 대칭이동한 점을 B, 점 A를 원점에 대하여 대칭이동한 점을 C라 할 때, 선분 BC의 길이는?
풀이
B = (-3, -1.5, -2)
C = (-3, 1.5, 2)
BC = |0, 3, 4| = 5
(기하) 26. 양수 a에 대하여 두 초점이 F, F'인 쌍곡선 x2 / a2 - y2 / a2 = -1 위의 점 (a, √2 a)에서의 접선이 y축과 만나는 점을 P라 하자. PF × PF' = 8일 때, a의 값은?
풀이
F = (0, √2 a), F' = (0, -√2 a)
쌍곡선의 접선의 방정식에 의해 xx1 / a2 - yy1 / a2 = ax / a2 - √2 ay / a2 = x / a - √2y / a = -1을 얻는다.
그러므로 P = (0, a / √2)
PF × PF' = (√2 - 1/√2) × (1/√2 + √2) a2 = 1.5 a2 = 8 ⇔ a2 = 16 / 3 ⇔ a = 4√3 / 3
(기하) 27. 그림과 같이 지름의 길이가 5인 두 원 C1, C2를 두 밑면으로 하는 원기둥이 있고, 원 C1 위의 AB = 5인 두 점 A, B와 원 C2 위의 CD = 3인 두 점 C, D에 대하여 AD = BC이다. 점 D에서 원 C1을 포함하는 평면에 내린 수선의 발을 H라 하자. 사각형 ABCD의 넓이가 삼각형 ABH의 넓이의 4배일 때, 이 원기둥의 높이는?

풀이
AB = 5이므로 AB는 지름이다.
ABCD가 등변사다리꼴이므로 H와 AB 사이의 거리는 2이고 △ABH = (1/2) × AB × 2 = 5이다.

AH = √(12 + 22) = √5
DH = h라 두면, AD = √(h2 + AH2) = √(h2 + 5), D와 AB 사이의 거리 = √(AD2 - 12) = √(h2 + 4)
∴ □ ABCD = (5+3)/2 × √(h2 + 4) = 4△ABH = 20 ⇔ √(h2 + 4) = 5 ⇔ h = √21
(기하) 28. 그림과 같이 AB = CD = 4, BC = BD = 2√5 인 사면체 ABCD가 있고, 점 A에서 직선 CD에 내린 수선의 발 H에 대하여 두 평면 ABH와 BCD는 서로 수직이고 AH = 4이다. 삼각형 ABH의 무게중심을 G라 하고, 점 G를 중심으로 하고 평면 ACD에 접하는 구를 S라 하자. ∠APG = π/2 인 구 S 위의 모든 점 P가 나타내는 도형을 T라 할 때, 도형 T의 평면 ABC 위로의 정사영의 넓이는?

풀이
HC = HD = 2 → BH = √(BC2 - HC2) = 4
∴ △ABC는 정삼각형
S의 반지름 = 정삼각형의 높이 / 3 = 2√3 / 3
그리고 ∠APG = π/2는 AG를 지름으로 하는 구의 궤적과 같고, 이 궤적과 S의 교집합은 반지름이 1인 원이 된다. (계산 생략)
이 원의 법선 벡터는 (0, 0, 1)이다.
한편, A = (-2, 0, 2√3), B = (-4, 0, 0), C = (0, -2, 0), H = (0, 0, 0)으로 두자.
AB × AC / |AB × AC| = (-√3 / 4, -2√3 / 4, 1/4)이다.
∴ T의 △ABC 위로의 정사영의 넓이 = π × 12 (0, 0, 1) · (-√3 / 4, -2√3 / 4, 1/4) = π / 4
(기하) 29. 그림과 같이 초점이 F(p, 0) (p > 0)이고 준선이 x = -p인 포물선 위의 점 중 제1사분면에 있는 점 A 에서 포물선의 준선에 내린 수선의 발을 H라 하고, 두 초점이 x축 위에 있고 세 점 F, A, H를 지나는 타원의 x좌표가 양수인 초점을 B라 하자. 삼각형 AHB의 둘레의 길이가 p + 27, 넓이가 2p + 12일 때, 선분 HF의 길이를 k라 하자. k2의 값을 구하시오.

풀이
A = (x, y), y2 = 4px
H = (-p, y) → AH = p + x
2p + 12 = (1/2) × (p + x) × y ⇔ 4p + 24 = py + xy
A와 H는 타원 상에서 높이가 같으므로 AB + HB = HB' + HB (B'은 타원의 또다른 초점) = 2a = p + 27 - (p + x) = 27 - x
타원의 중심의 x 좌표 = A와 H의 중점 x 좌표 = ((x-p)/2, 0)
∴ F의 x 좌표 = p = 타원의 중심의 x 좌표 + a = (x-p) / 2 + (27-x) / 2 = -p/2 + 27/2 ⇔ p = 9
∴ 4p + 24 = 60 = py + xy = 9y + xy, y2 = 36x ⇒ x = 1, y = 6
∴ k2 = HF2 = 4p2 + y2 = 4p2 + 4px = 360
(기하) 30. 좌표평면에서 길이가 10√2인 선분 AB를 지름으로 하는 원 위의 두 점 P, Q가 (PA + PB) · (PQ + PB) = 2 |PQ|2 을 만족시킨다. |PB| = 14일 때, |PA · QB| = q / p 이다. p + q의 값을 구하시오. (단, |QB| > 0이고, p와 q는 서로소인 자연수이다.)
풀이
PA·PQ + PB·PQ + PA·PB + PB·PB = PA·PQ + PB·PQ + 196 = 2|PQ|2
∴ 196 = PQ·(2PQ - PA - PB) = PQ·(2PQ - 2PO) = 2PQ·OP
∴ 98 = |OP|2 - OQ·OP
∴ OQ·OP = -48
이때 Q는 2개가 가능한데 하나는 B이고 |QB| > 0이므로 B는 OP에 대한 B의 대칭점이다.
O = (0, 0), A = (-5√2, 0), B = (5√2, 0), P = (-48 / 5√2, 14 / 5√2)로 두면 Q = (527√2 / 125, -336√2 / 125)를 얻을 수 있다.
따라서 PA·QB = -196 / 25이다.
그러므로 p + q = 25 + 196 = 221이다.
입력: 2025.11.18 00:34
'▶ 자연과학 > ▷ 일반수학' 카테고리의 다른 글
| 【수학】 Math-500 (0) | 2026.01.10 |
|---|---|
| 【수능】 2025학년도 대학수학능력시험 수학 (3) | 2025.11.18 |
| 【수능】 2023학년도 대학수학능력시험 수학 (0) | 2025.07.08 |
| 【수능】 2024학년도 대학수학능력시험 수학 (1) | 2025.06.26 |
| 【수학】 대학수학능력시험 수학 풀이 (0) | 2018.09.13 |
최근댓글