5강. 대류의 원리(principle of convection)
추천글 : 【열전달】 열전달 목차
1. 대류현상의 분석 [본문]
2. 층류 경계층의 속도 방정식 [본문]
3. 층류 경계층의 열 방정식 [본문]
4. 문제 풀이 방법론 [본문]
1. 대류현상의 분석(analysis for convection heat transfer) [목차]
⑴ 유체역학(fluid dynamics) + 에너지 보존(energy balance)
⑵ 평판 위의 속도 경계층(velocity boundary layer on a flat plate)
① 마찰 항력(friction drag)이 관측된다.

② 무한 거리의 유체의 속도 u∞의 0.99배의 속력이 관찰되는 지점 (x, δ(x))들을 곡선으로 연결한 것
Figure. 1. 평판 위의 속도 경계층
Figure. 2. 평판 위의 속도 경계층
Figure. 3. 평판 위의 속도 경계층
③ 온도 경계층(thermal boundary thickness)과 속도 경계층의 개형은 유사
○ 온도 경계층 : 무한 거리의 유체온도 T∞, 평판의 온도 Tw에 대해 Tw + 0.99(T∞ - Tw)의 지점들을 연결한 곡선
⑶ 레이놀즈 수(Reynolds number)
① 수식화

② 레이놀즈 수는 층류(laminar), 과도 상태(transient state), 난류(turbulent)를 구분하는 기준이 된다.
○ 임계 레이놀즈 수(Critical Reynolds number): 층류에서 난류로 바뀌는 경계값
○ 예 : 무한평판(an infinite flat plate) = 5 × 105

○ 예 : 튜브(a tube) = 2300

③ 층류 vs 난류
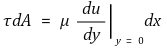
○ 층류가 난류보다 ∂u/∂y가 더 크다. (∵ 끄는 힘이 더 커서 속도 변화가 큼)
○ 층류가 난류보다 속도 경계층의 두께가 더 작다. (∵ 속도 변화가 크므로)
○ 난류에는 와류(eddy current)가 있다.
⑷ 프란틀 수(Prandtl number)
① 정의

② 여러 재료별 Pr
○ Pr ≪ 1 : 액체 물질
○ Pr ≒ 1 : 기체, 액체
○ Pr ≫ 1 : 기름, 글리세린
③ 정의가 매우 단순하므로 쉽게 값을 구할 수 있음
④ Peclet 수 : 열전달속도 중에서 대류열전달 속도가 차지하는 비율을 나타냄

⑸ 누셀트 수(Nusselt number) : 실험적으로 Re와 Pr로부터 얻어진 Nu를 통해 h의 값을 계산
① 근사식 1. 실험적으로 0.332 결정

○ 이 증명은 아래의 개념을 모두 이해하고 나서 보길 바란다.

○ 실험적으로 얻어진 값으로 약간의 보정이 이뤄짐

○ 만약 x0 = 0이면, 다음과 같음

② 근사식 2.

③ 근사식 3. 적당한 구간에 대해 실험적으로 0.227, 0.633 결정

④ 근사식 4
○ 층류 : Nu ∝ Re0.5 (fully developed 기준)
○ 난류 : Nu ∝ Re0.8 (fully developed 기준)
⑤ 근사식 5. Pe가 매우 크면 Nu는 Pe만의 함수

⑥ (구별개념) 비오트 수(Bi, biot number)
○ 공통점

○ Bi의 경우, Rcond의 값이 대류 물질과 다른 solid의 값이고, 두 열저항은 직렬이다.
○ Nu의 경우, Rconv의 값이 대류 물질의 열 저항 값이고, 두 열저항은 병렬이다.
○ Nu은 대류가 얼마나 효과적으로 일어나는지에 대한 척도임
○ Nu = 100이면, 전도만 일어날 때에 비해 (100+1)배의 열전달이 일어난다는 의미
⑦ 평균 Nu
○ 평균 h

○ 평균 Nu

⑹ 표면 마찰 계수(Skin friction coefficient)
① 표면 전단 응력(Surface shear stress)

② 표면 마찰 계수의 정의

③ 스타톤 수(Stanton number) : 이를 통해 전단 계수를 결정할 수 있음
○ 정의

○ Reynold - Colburn analogy : 층류뿐만 아니라 난류에서도 잘 성립

○ 증명

2. 층류 경계층의 속도 방정식 [목차]
⑴ 미분형 방정식
① 가정 : 무한 평판의 두께가 y축과 나란하고, 유체는 +x축과 나란한 속도 u와 +y축과 나란한 속도 v로 운동함
○ 비압축성 유체 ⇔ ρ = constant, steady state
○ ∂ρ/∂y = 0
○ μ = constant (∵ 대개 상온 부근에 대해서만 분석을 하므로)
○ τy ≒ 0 (즉, 기하학적으로 매우 평평함)
② 연속방정식(continuity equation)
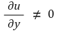
○ mass flow from the left per unit time

○ mass flow from the right per unit time

○ mass flow from the bottom per unit time

○ mass flow from the top per unit time

○ 최종 결론

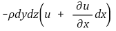
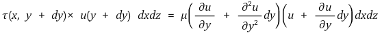
③ 단위 시간당 x축 운동량 변화 : ⑴-② 이용
Figure. 4. 층류 경계층의 미분형 속도 방정식
○ 운동량 유율(momentum flow rate)

○ momentum flow rate from the left ⒜

○ momentum flow rate to the right ⒝

○ momentum flow rate from the bottom ⒞

○ momentum flow rate to the top ⒟

○ 단위 시간당 x축 운동량 변화

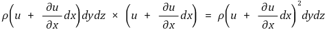
④ x축 상의 알짜 힘
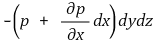
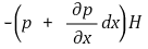
○ pressure force from the left ⒜

○ pressure force to the right ⒝

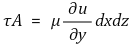
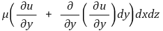
○ shear force from the bottom (toward left) ⒞

○ shear force from the top (toward right) ⒟

○ x축 상의 알짜 힘

⑤ 최종 형태 : Navier-Stokes equation

⑵ 적분형 방정식(Integral analysis by von Kármán)
Figure. 5. 층류 경계층의 적분형 속도 방정식
① 가정
○ H > δ
○ 상자의 바닥은 판과 접해 있음
○ Δz = 1, Δz는 어떤 값이든 상관 없음
○ 나머지 가정은 2-⑴-①과 같음
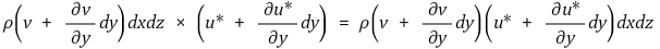
○ 연속방정식(continuity equation)
○ mass flow rate from the left ⒜

○ mass flow rate to the right ⒝

○ mass flow rate to the top

③ 단위 시간당 x축 운동량 변화 : 2-⑵-② 이용
○ momentum flow rate from the left ⒜

○ momentum flow rate to the right ⒝

○ momentum flow rate to the top ⒞

○ 단위 시간당 x축 운동량 변화

④ x축 상의 알짜 힘
○ pressure force from the left ⒜

○ pressure force to the right ⒝

○ pressure force from the bottom (toward left) ⒞

○ pressure force from the top (toward right) = 0 (∵ ∂u/∂y = 0)
○ x축 상의 알짜 힘

⑤ 최종 형태

⑶ δ의 식
① 경계조건

② 1st. 테일러 전개

○ 실험적으로 대개 다음 식이 관찰됨

③ 2nd. 2-⑵-⑤ 적용

3. 층류 경계층의 열 방정식 [목차]
⑴ 미분형 방정식
① 가정
○ steady state : 들어온 에너지는 빠져나간 에너지와 같음
○ ρ = constant, ∂u/∂t = 0
○ μ, k, Cp = constant
○ x축 방향으로의 열 전도는 무시 (∵ 벌크 유동이 지배적이기 때문)
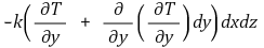
② 에너지 보존 방정식
Figure. 6. 층류 경계층의 미분형 열 방정식
○ 에너지 유출률(rate of energy convected out)

○ (x축) rate of energy convected out ⒜

○ (y축) rate of energy convected out ⒝

○ rate of energy conducted in from the bottom ⒞

○ rate of energy conducted out to the top ⒟

○ rate of viscous work from the bottom ⒠ : 힘과 속도 방향이 달라 음의 일, 즉 일을 함

○ rate of viscous work from the top ⑹: 힘과 속도 방향이 같아 양의 일, 즉 일을 받음

○ 에너지 보존 방정식

○ x의 값을 고정
○ 이때 T에 대한 식은 유일하게 결정
○ T(x0, y) = k × u(x0, ay) + C인 경우 위 식을 만족하므로 T의 식을 바로 구해낼 수 있음

⑵ 적분형 방정식 : 가정은 2-⑵와 같음
① (x축) rate of energy convected out ⒜

② (y축) rate of energy convected out ⒝

③ rate of energy conducted in from the bottom

④ rate of viscous work

⑤ 에너지 보존 방정식

○ 우선 ζ가 1보다 작은 값이라고 가정하자.
○ T에 대한 식의 좌변은 다음과 같이 구할 수 있다.

○ 또한 식의 우변은 다음과 같이 구할 수 있다.

○ 따라서 적당히 정리하면 다음 식을 얻을 수 있다.

○ 그런데 이미 δ에 대한 식을 알고 있다.

○ 따라서 위 수식은 다음과 같이 된다.

○ 위 미분방정식의 해는 제차해와 특해의 합으로 나타나고, 특해는 상수항이다.
○ 또한 제차해는 y + p(x)y' = 0을 구하는 것과 같으므로(y = ζ3) 일반해는 다음과 같다.

○ 이를 통해 C를 구하면 다음과 같다.

Figure. 7. 층류 경계층의 적분형 열 방정식
⑴ 순수하게 난류(turbulent)인 상태는 없고, 층류(laminar)와 난류만 섞인 상황만 있을 뿐임
⑵ 문제 1. 일정 온도의 물체의 열전달 계산
① Nu를 계산
② h값 계산
③ q = hAΔT
⑶ 문제 2. 일정 열유속을 갖는 물체의 온도 계산
① 임의의 ΔT에서 Nu 계산 및 ΔT* 계산
② 그 ΔT에서 Nu 계산 및 ΔT* 계산
③ 반복
④ 수렴하는 ΔT 도출
⑷ 문제 3. 항력 계산
① St 계산
② Cf 계산
③ τS 계산
④ F 계산
Table. 1. 문제 풀이 방법론
입력: 2016.05.22 12:13
'▶ 자연과학 > ▷ 유체역학·전달현상' 카테고리의 다른 글
| 【열전달】 7강. 자연 대류계 (0) | 2016.06.27 |
|---|---|
| 【열전달】 6강. 강제 대류계 (0) | 2016.06.27 |
| 【열전달】 4강. 비정상상태의 열전도 (3) | 2016.06.27 |
| 【열전달】 3강. 정상상태의 전도 2차원 (0) | 2016.06.27 |
| 【열전달】 2강. 정상상태의 전도 1차원 (0) | 2016.06.27 |
최근댓글