21강. 미분방정식의 해의 존재성
추천글 : 【해석학】 해석학 목차
풀이가 궁금하시면 답변 바랍니다.
1. Banach 고정점 정리 [본문]
2. 적분방정식과 고정점의 연관성 [본문]
3. 미분방정식 일반 [본문]
4. 벡터함수에 관한 미분방정식으로의 확장 [본문]
1. Banach 고정점 정리 [목차]
⑴ (참고) 일반 고정점 정리
⑵ 해석학적 Banach 고정점 정리
① 정리
g : [a, b] → [a, b]가 연속함수이고 0 < K < 1이 있어 각 x ∈ (a, b)에 대해 f'(x)가 존재하여 |f'(x)| ≤ K라 하자. 이때 x = f(x)인 유일한 x ∈ [a, b]가 존재한다. 실제로 임의의 x0 ∈ [a, b]에 대해 xn+1 = f(xn), n ≥ 0이라 정의하면 수열 (xn)은 고정점 x로 수렴한다. 또한 |xn - x| ≤ Kn(b - a) / (1 - K)가 성립한다.
② 증명
평균값 정리에 의해 a ≤ x < y ≤ b이면 |f(x) - f(y)| ≤ K|x - y|이다.
이제 x0 ∈ [a, b]을 고정하고 (xn)n≥0을 재귀식 xn+1 = f(xn)으로 정의하자.
이때 각 n ∈ ℕ에 대해 |xn+1 - xn| = |f(xn) - f(xn-1)| ≤ K|xn - xn-1| ≤ ⋯ ≤ Kn|x1 - x0| ≤ Kn(b - a)이다.
그러므로 n < m이면 |xn - xm| ≤ |xn - xn+1| + ··· + |xm-1 - xm| ≤ (Kn + ··· + Km-1)(b - a) ≤ (Kn / (1 - K)) × (b - a)이다.
limn→∞ Kn = 0이므로 (xn)은 Cauchy 수열이므로 limn→∞ xn = x ∈ [a, b]가 존재한다.
f의 연속성에 의해 f(x) = limn→∞ f(xn) = limn→∞ xn+1 = x이므로 x는 f의 고정점이다.
또한, |xn - xm| ≤ (Kn / (1 - K)) × (b - a)임을 알고 있으므로, |xn - x| ≤ (Kn / (1 - K)) × (b - a)임을 안다.
한편 x, y ∈ [a, b]가 f의 고정점이라면 |x - y| = |f(x) - f(y)| ≤ K|x - y|이고 0 < K < 1이므로 |x - y| = 0, 즉 x = y이다.
③ 직관

⑶ 예제 : √2가 함수 g(x) = x / 2 + 1 / x의 고정점임을 이용하여 |r - x| ≤ 0.01인 유리수 r을 찾으시오.
○ 풀이.
x0 = 1 (유리수)로 두면 x1 = g(x0) = 3/2, x2 = g(x1) = 17/12 등을 얻는다.
√2 = 1.41421356···임을 이용하면 |17/12 - √2| ≤ 0.01임을 쉽게 확인할 수 있다.
따라서 r의 한 후보로서 17/12를 제시할 수 있다.
⑷ 일반적 Banach 고정점 정리(contraction mapping theorem)
① 정리
F를 Banach space이라고 하자. 이때 Banach space는 complete normed space를 지칭하고, 어떤 집합이 완비(complete)라 함은 그 집합 안의 모든 코시 수열이 그 집합 안의 어떤 원소로 수렴함을 뜻한다. T : F → F를 다음을 만족하는 사상이라고 하자.
||Tx - Ty|| ≤ β||x - y||, ∃β ∈ (0,1), ∀x, y ∈ F
그러면 다음이 성립한다.
○ Tw = w를 만족하는 고정점 w ∈ F이 유일하게 존재한다.
○ 임의의 x ∈ X에 대해 limn→∞ Tnx = w가 성립한다.
이는 필연적으로 다음을 암시한다.
○ 위 성질을 만족하는 사상 T를 contraction이라고 한다.
○ T는 연속이며, 구체적으로 Lipschitz continuous이다.
② 증명
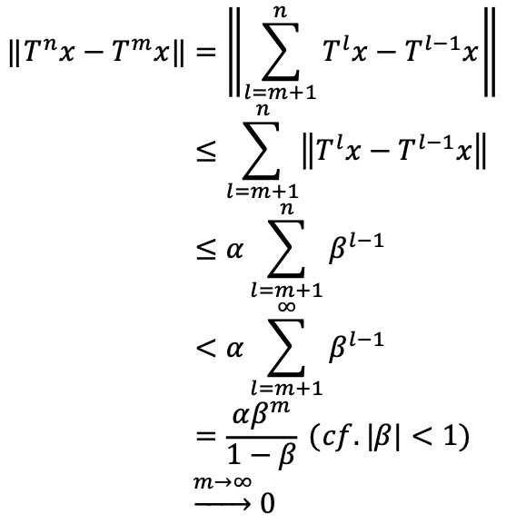
x ∈ F, α = ||x - Tx||라고 하자. 이로부터 ||Tnx - Tn+1x|| ≤ βnα가 성립한다.
{x, Tx, T2x, ···}와 같은 코시 수열을 상정하면 다음을 얻을 수 있다.
∀ϵ > 0, ∃Nϵ s.t. ∀n, m ≥ Nϵ, ||Tnx - Tmx|| < ϵ
일반성을 잃지 않고 n > m이라 하자. 그러면 다음을 얻을 수 있다.

따라서 αβN / (1 - β) < ϵ인 N이 존재한다.
Banach space이므로 limn→∞ Tnx = w인 w가 존재한다.
T(limn→∞ Tnx) = Tx = limn→∞ Tn+1x = w이므로 w는 고정점이다.
w1, w2를 T의 고정점이라 두면 ||w1 - w2|| = ||Tw1 - Tw2|| = ⋯ = ||Tnw1 - Tnw2|| = ⋯ = 0이므로 w1, w2는 동일하다.
③ 응용 : Bellman 연산자의 수축정리
⑸ Kirszbraun extension theorem
2. 적분방정식과 고정점의 연관성 [목차]
⑴ 예제 : 연속함수 f : (a, b) × ℝ → ℝ, (x0, y0) ∈ (a, b) × ℝ 그리고 함수 y : (a, b) → ℝ에 대해 다음이 동치임을 보이시오.
① y(x0) = y0이고 각 x ∈ (a, b)에 대해 y'(x)가 존재하여 y'(x) = f(x, y(x))이다.
② y는 연속이고 각 x ∈ (a, b)에 대해 다음이 성립한다.

⑵ 예제 : f : ℝ × ℝ → ℝ이 f(x, y) = 2y이고 x0 = 0, y0 = 1일 때 y(0) = 1이고 y'(x) = f(x, y(x))를 만족하는 함수 y : ℝ → ℝ가 다음 함수열의 극한으로 얻어짐을 보이시오.

⑶ 예제 : B = {y : (a, b) → ℝ | y는 유계이다}이고 y ∈ B에 대해

라 하자. 다음을 보이시오.
① y, z ∈ B, c ∈ ℝ이면 y + z, cy ∈ B이다.
② y, z ∈ B, c ∈ ℝ일 때 다음과 같다.
○ 수식 1. ||y|| ≥ 0
○ 수식 2. ||cy|| = |c| ||y||
○ 수식 3. ||y + z|| ≤ ||y|| + ||z||
③ y, y1, y2, ··· ∈ B이고

이며 각 y1, y2, ···가 연속이면 y도 연속이다.
⑷ 예제 : B가 위와 같다고 하자. B의 부분집합 S를 S = {y ∈ B | y는 연속이고 α ≤ y ≤ β}라 하자. 함수 G : S → S와 상수 0 < K < 1가 있어 모든 y, z ∈ S에 대해

가 성립한다면 G(y) = y인 유일한 y ∈ S가 존재함을 보이시오.
⑸ 예제 : (x0, y0)을 원소로 하는 직사각형 (a, b) × (c, d) 위에서 정의된 연속함수 f(x, y)가 연속인 편미분

를 갖는다고 하자. 이때 다음을 만족하는 h > 0가 존재한다.
① (x0 - h, x0 + h) ⊆ (a, b)이다.
② y(x0) = y0이고 각 |x - x0| < h에 대해 (x, y(x)) ∈ (a, b) × (c, d)이며 y'(x)이 존재하여 y'(x) = f(x, y(x))를 만족하는 함수 y : (x0 - h, x0 + h) → ℝ이 유일하게 존재한다.
⑹ 예제 : 미분방정식 y'(x) = [y(x)]2 - x, y(1) = 0이 유일한 해를 갖는 구간 (1 - h, 1 + h)를 하나 구하시오.
3. 미분방정식 일반 [목차]
⑴ 개요
① 상미분방정식(ODE, ordinary differential equation)
② 선형 상미분방정식(linear ODE)

③ autonomous ODE
⑵ Picard's theorem : f(x,y)가 연속이고 ∂f / ∂x가 존재하고 (x0, y0) 근처에서 연속이면 y' = f(x, y), y(x0) = y0인 해는 적어도 좁은 구간에서 존재하고 유일하게 결정됨
⑶ 선형 상수계수 상미분방정식에서 m개의 중근이 존재하면 eλx 뿐만 아니라 xeλx, ⋯, xm-1eλx도 고려해야 함
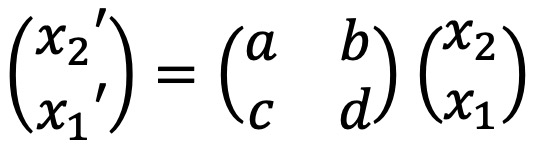
⑷ 연립 선형 상미분방정식 : 2 × 2 행렬 A로 표현되는 연립 선형 상미분방정식에 대하여,

① 경우 1. A가 고유치 λ1, λ2를 갖고 대각화가 가능한 경우 : λ1, λ2와 각각 대응되는 고유벡터 v1, v2에 대해, 해는 다음과 같이 표현됨

② 경우 2. A가 복소수 고유치 p ± qi를 갖는 경우 : 해는 다음과 같이 표현됨

③ 경우 3. A가 다중도가 2인 고유치 λ 1개를 갖고 있고, 대각화가 안 된다면 일반해 x는 일반화된 고유벡터와 함께 다음과 같음

4. 벡터함수에 관한 미분방정식으로의 확장 [목차]
⑴ 예제 : 벡터함수 x : [a, b] → ℝn, x(t) = (x1(t), ···, xn(t))에 대해 미분과 적분을


로 정의하자. 이때 미적분학의 기본정리들을 기술하고 증명하시오. 또한

를 확인하시오. 여기서 |(a1, ···, an)| = max{|a1|, ···, |an|}이다.
⑵ 예제 : R = (c1, d1) × ··· × (cn, dn) ⊆ ℝn이고 (t0, x0) ∈ (a, b) × R라 하자. 연속함수 f: (a, b) × R → ℝn가 연속인 편미분

를 갖는다고 하자. 이때 다음 방정식 x(t0) = x0, x'(t) = f(t, x(t))이 유일한 해를 갖는 구간 (t0 - h, t0 + h)가 존재함을 보이시오.
입력 : 2020.01.18 00:45
'▶ 자연과학 > ▷ 해석학' 카테고리의 다른 글
| 【해석학】 해석학 목차 (0) | 2020.01.18 |
|---|---|
| 【해석학】 22강. 미분방정식의 해의 안정성 (2) | 2020.01.18 |
| 【해석학】 20강. 푸리에 급수 (0) | 2020.01.17 |
| 【해석학】 19강. 무한급수의 수렴판정법 (2) | 2020.01.17 |
| 【해석학】 11강. 초월함수 (지수함수, 로그함수, 삼각함수) (0) | 2020.01.16 |
최근댓글