The Solution for GRE Physics Practice Test [01-20]
추천글 : 【GRE】 Solution for GRE Physics Practice Test
1. Which of the following best illustrates the acceleration of a pendulum bob at points a through e?

⑴ answer: C
⑵ Gravity and tension constitute a resultant force.
⑶ As it gets closer to point C, only the pure centripetal force component remains.
2. The coefficient of static friction between a small coin and the surface of a turntable is 0.30. The turntable rotates at 33.3 revolutions per minute. What is the maximum distance from the center of the turntable at which the coin will not slide?

⑴ answer: D
⑵ F = mv2 / r = mrω2 = μmg ⇔ r = 0.30 × 10 / (33.3 × 2π / 60)2 = 0.24 m
3. A satellite of mass m orbits a planet of mass M in a circular orbit of radius R. The time required for one revolution is

⑴ answer: D
⑵ Kephler's third law : T2 ∝ a3 ≒ R3
4. In a nonrelativistic, one-dimensional collision, a particle of mass 2m collides with a particle of mass m at rest. If the particles stick together after the collision, what fraction of the initial kinetic energy is lost in the collision?

⑴ answer: C
⑵ vf = 2m · v / 3m = 2v / 3
⑶ Ki = 1/2 × 2m × v2
⑷ Kf = 1/2 × 3m × (2v/3)2 = Ki × 2/3
5. A three-dimensional harmonic oscillator is in thermal equilibrium with a temperature reservoir at temperature T. The average total energy of the oscillator is

⑴ answer: D
⑵ 〈E〉3D = 3 × 〈E〉1D = 3 × kBT
6. An ideal monatomic gas expands quasi-statically to twice its volume. If the process is isothermal, the work done by the gas is Wi. If the process is adiabatic, the work done by the gas is Wa. Which of the following is true?

⑴ answer: E

7. Two long, identical bar magnets are placed under a horizontal piece of paper, as shown in the figure below. The paper is covered with iron filings. When the two north poles are a small distance apart and touchibg the paper, the iron filings move into a pattern that shows the magnetic field lines. Which of the following best illustrates the pattern that results?


⑴ answer: B
8. A positive charge Q is located at a distance L below an infinite grounded conducting plane, as shown in the figure below. What is the total charge induced on the plane?


⑴ answer: D
⑵ The net electric field inside the conducting plane should be zero.
9. Five positive charges of magnitude q are arranged symmetrically around the circumference of a circle of radius r. What is the magnitude of the electric field at the center of the circle? (k = 1/4π𝝐0)

⑴ answer: A
⑵ The electric fields cancel out each other, making a net electric field of zero.
10. A 3-microfarad capacitor is connected in series with a 6-microfarad capacitor. When a 300-volt potential difference is applied across this combination, the total energy stored in the two capacitors is

⑴ answer: A
⑵ Ctot = (3-1 + 6-1)-1 = 2 μF
⑶ E = 1/2 CV2 = 1/2 × 2 × 10-6 × 3002 = 0.09 J
11. An object is located 40 centimeters for the first of two thin converging lenses of focal lengths 20 centimeters and 10 centimeters, respectively, as shown in the figure below. The lenses are separated by 30 centimeters. The final image formed by the two-lens system is located


⑴ answer: A

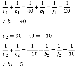
12. A spherical, concave mirror is shown in the figure below. The focal point F and the location of the object O are indicated. At what point will the image be located?


⑴ answer: E
⑵ 1/a + 1/b = 1/f, 0 < a < f
⑶ ∴ b < 0
13. Two stars are separated by an angle of 3 × 10-5 radians. What is the diameter of the smallest telescope that can resolve two stars using visible light (λ ≅ 600 nanometers)? (Ignore any effects due to Earth's atmosphere.)

⑴ answer: B
⑵ Rayleigh criterion : θ = 1.22 λ / D
14. An 8-centimeter-diameter by 8-centimeter-long NaI(TI) detector detects gamma rays of a specific energy from a point source of radioactivity. When the source is placed just next to the detector at the center of the circular face, 50 percent of all emitted gamma rays at that energy are detected. If the detector is moved to 1 meter away, the fraction of detected gamma rays drops to

⑴ answer: C
15. Five classes of students measure the height of a building. Each class uses a different method and each measures the height many different times. The data for each class are plotted below. Which class made the most precise measurement?

⑴ answer: A
⑵ precision and accuracy

16. A student makes 10 one-second measurements of the disintegration of a sample of a long-lived radioactive isotope and obtains the following values.
3, 0, 2, 1, 2, 4, 0, 1, 2, 5
How long should the student count to establish the rate to an uncertainty of 1 percent?

⑴ answer: D (Unable to solve, but I tried in the following ...)
⑵ X̄ = 1/n × ∑ Xi = 2
⑶ s2 = 1/(n-1) × ∑(Xi - X̄)2 = 2.67
⑷ uncertainty = √ (s2 / T) = 0.01 × X̄ ⇔ T = 6667 s
17. The ground state electron configuration for phosphorus, which has 15 electrons, is

⑴ answer: B

18. The energy required to remove both electrons from the helium atom in its ground state is 79.0 eV. How much energy is required to ionize helium (i.e., to remove one electron)?

⑴ answer: A
⑵ By the Slater's rule, the first ionization energy is lower than the second ionization energy.
19. The primary source of the Sun's energy is a series of thermonuclear reactions in which the energy produced c2 times the mass differece between

⑴ answer: B
⑵ thermonuclear reaction at Tokamak

20. In the production of X rays, the term "bremsstrahlung" refers to which of the following?

⑴ answer: E
⑵ bremsstrahlung : A phenomenon in which light is generated by energy differences due to accelerated motion of electrons.

입력: 2023.10.28 11:34
'▶ 자연과학 > ▷ GRE Subject 풀이' 카테고리의 다른 글
| 【GR0177】 The Solution for GRE Physics Practice Test [41-60] (0) | 2025.09.29 |
|---|---|
| 【GR0177】 The Solution for GRE Physics Practice Test [21-40] (0) | 2025.09.23 |
| 【GR0877】 The Solution for GRE Physics Practice Test [81-100] (1) | 2023.10.07 |
| 【GR0877】 The Solution for GRE Physics Practice Test [61-80] (0) | 2023.10.07 |
| 【GR0877】 The Solution for GRE Physics Practice Test [41-60] (2) | 2023.10.07 |
최근댓글