7강. 다이오드(diode)
추천글 : 【회로이론】 회로이론 목차
a. 다이오드 실험
1. 반도체 [목차]
⑴ 개요
① 패러데이가 최초로 반도체를 보고
② 반도체는 도체와 부도체 사이의 전도도를 가져 온도, 순도 등에 따라 전도도를 조절할 수 있음
⑵ 밴드갭 이론(band-gap theory)
① 정의 : 자유입자가 아닌 구속된 원자에 대한 퍼텐셜 에너지를 분석하는 이론
② 에너지 밴드의 분류
○ 에너지 밴드(energy band) : 해가 존재하는 연속구간
○ 금지대역 밴드갭(금지대, forbidden band) : 해가 존재하지 않는 연속구간
○ 에너지 갭(energy gap) : 가전자를 자유전자로 만들기 위한 에너지
○ 에너지 밴드는 다시 가전자대(valence band)와 전도대(conduction band)로 구분
③ 페르미 준위
○ 정의 : 0 K에서 고체 내의 전자가 가질 수 있는 가장 높은 에너지 준위
○ 이렇게 정의된 페르미 준위는 임의의 온도에서 전자가 채워질 확률이 절반이 됨
○ 페르미-디랙 분포 : 임의의 온도 T에서 에너지 준위 E가 입자에 의해 채워질 확률
○ 도체 : 페르미 준위는 전도띠와 원자가띠의 경계에 위치
○ 부도체 : 페르미 준위는 전도띠와 원자가 띠의 중간에 존재
○ 반도체 : 페르미 준위는 전도띠와 원자가 띠의 중간에 존재

④ 자유전자(전도전자, free electron, conduction electron)
○ 원자가전자가 에너지를 얻고 공유결합이 파괴된 후 자유롭게 움직이게 된 것
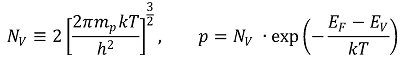
○ 자유전자의 농도 (n)

⑤ 양공(hole)
○ 원래 전자가 있던 자리가 빈 자리가 된 것
○ 양공의 농도 (p)

⑥ 에너지 갭의 크기가 전기전도도 및 비저항을 결정
Figure. 1. 부도체, 반도체, 도체의 에너지 밴드
○ 도체 : 가전자대와 전도대가 겹쳐 있음
○ 상온에서 원자 사이를 자유롭게 이동할 수 있는 전자들이 많음
○ 예 1. 은의 비저항은 ρ = 1.59 × 10-6 Ω·cm
○ 예 2. 구리의 비저항은 ρ = 1.67 × 10-6 Ω·cm
○ 반도체 : 밴드갭이 작음
○ 예 1. 게르마늄의 비저항은 ρ = 50 Ω·cm
○ 예 2. 실리콘의 비저항은 ρ = 250,000 Ω·cm. 에너지갭은 1.12 eV
○ 부도체 : 밴드갭이 큼
○ 예 1. 다이아몬드의 비저항은 ρ = 1012 Ω·cm
○ 예 2. 운모의 비저항은 ρ = 9 × 1012 Ω·cm
⑶ 순수 반도체(진성 반도체, intrinsic semiconductor)
① 정의 : Si, Ge 등 최외각 전자가 4개인 원소의 순수 결정으로 이루어진 반도체
② 실리콘 결정
○ 실리콘 단위 셀은 입방체 모양. 한 변은 5.43 Å
○ 각 실리콘 원자는 4개의 실리콘 원자와 이웃해 있음
③ 온도 증가 → 엔트로피 증가 → 자유전자 및 양공 발생
○ 자유전자의 수 = 양공의 수
○ 300 K에서 실리콘의 전자농도 ni = 1.5 × 1010 cm-3 (작은 편)
④ 온도에 따른 저항 변화
Figure. 2. 온도에 따른 도체, 반도체, 부도체의 저항 변화
○ 도체 : 온도 증가 → 원자들의 진동 증가 → 저항 증가
○ 반도체 : 온도 증가 → 자유전자 및 양공 증가 → 저항 감소
○ 부도체 : 온도 증가 → 전자들이 원자에서 분리 → 저항 감소
○ 반도체, 부도체에서 원자들의 진동 증가에 따른 저항 증가 효과보다 저항 감소 효과가 더 큼
○ 반도체를 이용한 컴퓨터 부품 등의 소자는 온도 증가가 과전류 유도 : 냉각 시스템이 필요한 이유
⑤ 반도체에 흐르는 전류
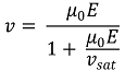
○ 종류 1. 전도 전류(drift current) : 도체 내에서 전계의 작용으로 자유 전자의 이동이 생기는 것

○ μn : 전자의 이동성(mobility) ≈ 1350 cm2/(V·s)
○ μp : 양공의 이동성(mobility) ≈ 480 cm2/(V·s)
○ 점성의 단위는 N·s/m2으로서 이동성의 역수와 비슷하다고 할 수 있음
○ 진성반도체

○ 전도 전류는 포화(saturatoin)할 수 있으므로 속도 식을 다소 수정할 필요가 있음

Figure. 3. 전도 전류의 포화

○ 종류 2. 대류 전류(diffusion current) : 하전 입자의 대류운동 또는 확산운동에 의한 것

○ Fick의 확산법칙을 유추 적용
○ 아인슈타인 관계식

⑷ 불순물 반도체
(가)는 진성반도체, (나)는 N형 반도체, (다)는 P형 반도체임
① 도핑(doping) : 전기 전도도를 높이기 위해 진성 반도체에 불순물을 첨가하는 것
② P형 반도체(positive-type semiconductor)
○ 14족 원소(Si, Ge) (원자가전자 4개) + 13족 원소(B, Al, Ga, In) (원자가전자 3개)
○ 반응식 : Na는 acceptor의 밀도를 의미

○ 전도대와 가전자대 사이에 여기전자(excitation electron)를 받아주는 받개 준위(acceptor level)를 생성 (밴드갭 감소)
○ 받개 준위는 원자가띠와 가깝게 존재함
○ P형 반도체의 경우 받개 준위에 기본적으로 전자가 채워져 있음
○ 전도띠의 자유전자의 수보다 원자가띠의 양공의 수가 훨씬 많으므로 주로 양공에 의해 전류가 흐름

③ N형 반도체(negative-type semiconductor)
○ 14족 원소(Si, Ge) (원자가전자 4개) + 15족 원소(P, As, Sb) (원자가전자 5개)
○ 반응식 : Nd는 donor의 밀도를 의미

○ 전도대와 가전자대 사이에 여기전자(excitation electron)를 방출시키는 주개 준위(donor level)를 생성 (밴드갭 감소)
○ 주개 준위는 전도띠와 가깝게 존재함
○ 원자가띠의 양공의 수보다 전도띠의 자유전자의 수가 훨씬 많으므로 주로 자유전자에 의해 전류가 흐름

④ 페르미 준위
○ P형 반도체 : 받개 준위로 인해 원자가 띠와 가까운 곳에 페르미 준위가 형성
○ N형 반도체 : 주개 준위로 인해 전도 띠와 가까운 곳에 페르미 준위가 형성
⑤ 불순물 반도체에서 전하의 개수
○ 평형상수와의 유사성 (a) : 자유전자의 밀도 n, 양공의 밀도 p, 에너지 갭 Eg에 대하여,

○ 전하균형식 (b)

○ 양공의 개수 (p형 반도체 기준) : (a)와 (b) 연립

○ 일반적으로 다수 캐리어의 농도는 주입한 불순물의 농도와 거의 일치
⑥ 불순물 반도체 소자를 만드는 과정
○ 1st. 뜨거운 열로 규소를 녹여 순도가 높은 액체 상태로 만듦
○ 2nd. 서서히 냉각하면서 소량의 불순물을 혼합
○ 3rd. 원기둥 모양의 단결정 덩어리인 잉곳(ingot)을 형성
○ 4th. 잉곳의 단면을 일정한 두께로 얇게 썰어낸 웨이퍼(wafer)를 형성
⑦ 예제 1. ni = 1015 (1/cm3), Na = 1017 (1/cm3)

⑧ 예제 2. 상온에서 실리콘의 전기전도도

⑨ 예제 3. 상온에서 실리콘 원자 중 107개 중 1개를 인듐으로 도핑한 p형 반도체의 전기전도도

2. 다이오드(diode) [목차]
⑴ 정의 : P형 반도체와 N형 반도체가 접합된 상태. 오직 한 방향의 전류만을 허용함
① 애노드(양극, anode) : P형 반도체 영역
② 캐소드(음극, cathode) : N형 반도체 영역
③ 전류는 애노드에서 캐소드 방향으로만 흐름 : 캐소드에서 애노드로 흐르지 않음
⑵ 평형(equilibrium) : PN 접합에 전압을 인가하지 않은 상태
① 공핍영역(depletion region)
○ 정의 : PN 접합 부위 근처에서 전자와 양공이 모두 없는 영역
○ 1st. 확산력에 의해 N형 반도체 있는 전자는 P형 반도체로 이동
○ 2nd. 재결합 : 전도띠의 자유전자와 원자가띠의 양공이 만나서 함께 소멸함
○ 3rd. 전자를 잃은 N형 반도체의 원자는 (+)극, 전자를 얻은 P형 반도체의 원자는 (-)극을 띰
○ 4th. 전계력 형성 : 극성을 띤 원자들에 의해 전자들의 추가적인 이동이 억제됨
○ 5th. 확산력과 전계력이 같아지면 평형을 이룸
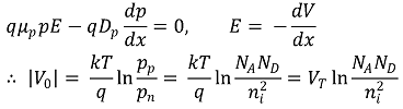
② 빌트인 전압(built-in potential)
○ N형 반도체에서 P형 반도체로 전기장이 형성 → 전위차가 발생 → 전자, 양공이 각각 P형, N형 반도체로 가는 게 억제
○ 빌트인 전압 : 평형상태에서의 전위차. 전위장벽, 접촉전위 등으로도 불림

○ pn : N형 반도체에 있는 양공의 밀도
○ pp : P형 반도체에 있는 양공의 밀도
○ nn : N형 반도체에 있는 전자의 밀도
○ np : P형 반도체에 있는 전자의 밀도
○ 일반적인 실리콘 다이오드 문제에서는 0.6 ~ 0.7 V로 가정
○ 평형에서는 바이어스와 달리 PN 접합면과의 거리에 따른 carrier의 밀도는 일정하다고 가정
○ pn(x) ≈ pn, np(x) ≈ np 등이 성립함
○ 바이어스에서와 구분하기 위해 평형에서의 carrier의 농도를 pn0, np0 등으로 표시함
③ 공핍영역의 두께

○ 공핍영역이 넓을수록 빌트인 전압이 커짐 : 역도 성립
⑶ 바이어스(bias) : PN 접합에 전압을 인가한 상태
① 원리 : 오직 소수 캐리어가 전류 흐름에 기여

○ 다수 캐리어는 전류 흐름에 영향을 끼치지 않음
○ P형 반도체에서 전자가 확산하여 전류를 형성함
○ N형 반도체에서 양공이 확산하여 전류를 형성함
② 순방향 바이어스(forward bias) : 순방향 도통상태. 전류 허용
○ 정의 : 애노드(p형 반도체)에 전지의 (+)극, 캐소드(n형 반도체)에 전지의 (-)극을 가한 상태
○ 1st. 이해 1. 확산력이 강해지는 방향으로 전압이 걸림 : 전위장벽의 전기장과 전지에 의한 전기장이 반대 방향
○ 전지에 의한 전기장은 전지의 (+)극에서 (-)극 방향
○ 전하에 의한 전기장은 (+) 전하에서 (-) 전하 방향
○ 1st. 이해 2. 공핍영역에다가 전자 및 양공을 추가로 이동시켜서 공핍영역이 좁아짐
○ 전지 전압은 P형 반도체에게 양공을 제공 → 양공은 P형 말단에서 PN 접합면으로 이동
○ 전지 전압은 N형 반도체에게 전자를 제공 → 전자는 N형 말단에서 PN 접합면으로 이동
○ 2nd. 공핍영역이 좁아져서 과도한 소수 캐리어, 즉 과도 전자와 과도 양공이 발생
○ 3rd. 과도 전자는 P형 반도체 말단으로 이동. 과도 양공은 N형 반도체 말단으로 이동 (추정)
○ 농도 : 접합면으로 갈수록 소수 캐리어의 농도가 높아짐
○ 4th. 확산전류가 흐름 : 공핍영역이 전류 흐름을 전혀 방해하지 않음
○ 단, 점선은 평형농도
○ 일부 그림은 접합면에서 공핍층만큼의 틈을 표시하기도 함
○ 순방향 바이어스일 때 항상 전류가 흐르는 것은 아니고 문턱장벽을 이길 수 있는 추가적인 에너지가 필요함
○ 수식화

③ 역방향 바이어스(reverse bias) : 역방향 저지상태. 전류 차단
○ 정의 : 애노드(p형 반도체)에 전지의 (-)극, 캐소드(n형 반도체)에 전지의 (+)극을 가한 상태
○ 1st. 이해 1. 확산력이 약해지는 방향으로 전압이 걸림 : 전위장벽의 전기장과 전지에 의한 전기장이 같은 방향
○ 전지에 의한 전기장은 전지의 (+)극에서 (-)극 방향
○ 전하에 의한 전기장은 (+) 전하에서 (-) 전하 방향
○ 1st. 이해 2. 공핍영역에다가 전자 및 양공을 추가로 이동시켜서 공핍영역이 넓어짐
○ 회로 전압은 P형 반도체에게 전자를 제공
○ 회로 전압은 N형 반도체에게 양공을 제공
○ 결과적으로 공핍영역이 넓어짐
○ 1st. 이해 3. 전지 전압은 전자를 N형 말단으로, 양공은 P형 말단으로 이동시킴
○ 2nd. 공핍영역이 넓어짐
○ 3rd. 전류가 흐르지 않음
○ 농도 : 소수 캐리어가 공핍 영역 근처에서 양이 부족함 → 전류가 흐르지 않음
○ 단, 점선은 평형농도
○ 일부 그림은 접합면에서 공핍층만큼의 틈을 표시하기도 함
○ 수식화 : IS를 reverse saturation current라고 부름

⑷ 다이오드의 전류-전압 특성
① 이상적인 다이오드
○ 수식화

○ 순방향(P형 → N형 전류)으로는 무저항의 전선과 같음 (short)
○ 역방향(N형 → P형 전류)으로는 모든 전류를 차단 (open)
○ 일반적으로 이상적인 다이오드는 속을 채운 다이오드로 표현
○ 일반적으로 실제 다이오드는 속을 비운 다이오드로 표현
② 실제 다이오드 : 가로축은 다이오드 전압 VD, 세로축은 다이오드 전류 ID
③ 문턱전압(turn-on voltage) : VF로 표시
○ 정의 : 전위장벽을 넘지 못하는 전압에서 전류는 흐르지만 크기가 작음. 다이오드가 큰 저항처럼 작용
○ 모델 1. Shockley 다이오드 모델
○ 페르미-디락 분포 함수(Fermi-Dirac's distribution function)에서 유도
○ 실제 다이오드의 특성곡선은 지수함수로 주어짐

○ 두 개의 동일한 다이오드를 병렬연결 하는 경우 이 지수함수 근사가 유용함
○ 열 전압(thermal voltage)은 일반적으로 0.0253 V (25.3 mV) 정도
○ 모델 2. 정전압 특성곡선 : 문턱전압만 반영하고 나머지는 이상적인 다이오드와 같이 해석하는 것
○ 일반적으로 문턱전압은 0.6 ~ 1 V 정도
○ 규소 접합의 문턱전압 : 0.7 V
○ 게르마늄 접합의 문턱전압 : 0.3 V
○ 반도체 레이저에 쓰이는 비소화 갈륨 접합의 문턱전압 : 1.6 V
○ (주석) 문턱전압과 열 전압은 관계 없음
○ 정전압 특성곡선과 부하선(loadline)이 주어지면 동작점을 알 수 있음
Figure. 10. 정전압 특성곡선과 부하선의 연립방정식
(예 : V = 1, R = 1, a = 0.25, b = 1, vD = 0.5, iD = 0.4)
○ 정전압 특성곡선 문제에서 등가회로
Figure. 11. 정전압 특성곡선 문제에서 등가회로
○ 전류-전압 특성곡선과 정전압 특성곡선은 다른 말임
○ 모델 3. incremental method(small signal method) : 작용점 (VD, ID)에 대해 미소 변동구간에서 다이오드는 한 개의 저항으로 간주할 수 있음
Figure. 12. 다이오드가 유사저항으로 간주되는 경우
○ 일반적인 수식

○ 예시

④ 항복전압(정격전압, breakdown voltage)
○ 정의 : 다이오드가 견딜 수 있는 최대 역전압
○ 전자 사태 항복(avalanche breakdown)
○ 기본적으로 실제 다이오드는 역방향 전압에 대해 아주 작은 누설전류(수십 mA)가 흐름
○ 이유 : P형 반도체에 전자가, N형 반도체에 양공이 소수캐리어로서 존재하기 때문
○ 1st. 공핍 영역에 진입한 전자가 역방향 바이어스에 의해 강해진 전계력으로 충분한 운동에너지를 얻음
○ 2nd. 그 전자는 결합상태의 전자-양공과 충돌하여 분리시킴
○ 3rd. 분리된 전자는 다시 연쇄작용을 일으킴
○ 4th. 결과적으로 공핍 영역 전체를 무효화시킴 → 전류 흐름
○ 전자 사태 항복으로 항복당한 다이오드는 고장남
○ 순방향 바이어스일 때 공핍영역이라도 있으므로 다이오드의 저항 효과가 나타남 : 비선형
○ 전자 사태 항복이 일어나면 공핍 영역이 제거된 효과로서 다이오드가 전선과 다름 없어짐 : 정전압 특성
○ (주석) 접합파괴는 다이오드를 하나의 역전압 전지로 생각해도 될 듯
○ 제너 항복(Zener breakdown)
○ 도핑 농도가 높은 반도체를 접합 → 확산력 증가 → 공핍 영역 감소 → 양자 터널링 빈발 → 전류 흐름
○ 1st. P측 가전자대에 위치한 전자의 에너지가 N측 전도대에 위치한 전자보다 높은 상태
○ 2nd. 직접 이동할 수 있을 정도로 충분한 역방향 전압이 인가되면 전류 발생 (양자 터널링)
⑤ 정격전류
○ 정의 : 다이오드가 파괴되지 않고 순방향으로 통과시킬 수 있는 전류의 최대값
○ 다이오드는 반드시 직렬로 연결된 저항을 동반해야 함 (과전류 방지 목적)
⑸ 특수 다이오드
① 제너 다이오드(Zener diode)
○ 정의 : 제너 항복이 일어났을 때 정전압이 형성되는 것을 이용하기 위한 소자
○ 순방향 바이어스는 문턱 전압이 일정하고 전류-전압 특성이 비선형
○ 역방향 바이어스는 도핑에 의해 항복전압이 바뀌고 전류-전압 특성이 정전압 특성
○ 제너 다이오드는 도핑이 상당히 많이 되어 있고, 3 ~ 8 V의 잘 조절되는 항복전압을 가짐
○ 제너 다이오드는 항복에 대한 내구성은 강화되었지만 과전류는 여전히 방지해야 함
○ 전압 조정기 회로 예제
○ 전략 : 우선 제너 다이오드가 없다고 가정
Figure. 14. 전압 조정기 회로 예제
○ RL = 1.2 kΩ인 경우

○ RL = 4 kΩ인 경우

② 발광 다이오드(LED, light emitting diode)
○ 순방향 바이어스를 가하면 접합 부근에서 캐리어들의 재결합에 의해 발광
A는 p형 반도체이고 B는 n형 반도체임
○ (참고) N형 반도체는 P형 반도체보다 에너지 준위가 낮지만 N형의 전도띠는 P형의 원자가띠보다 높음
○ 발광 다이오드는 밴드갭의 크기에 해당하는 빛을 방출

○ (주석) 재결합한 상태가 모종의 이유로 풀리기도 하니까 재결합이 계속 일어나서 LED가 지속적으로 빛을 발광함
○ (참고) 대부분의 다이오드는 빛이 아니라 열로 전환
○ 규소 (Si) 반도체, 게르마늄 (Ge) 반도체 : 빛이 아니라 열로 전환
○ 비소화 갈륨 (GaAs) 반도체, 인화 갈륨 (GaP) 반도체 : 빛이 방출
○ 효율이 높은 편 : 최고 90%까지 에너지 절감 가능
③ 광 다이오드
○ 정의 : 빛 에너지를 흡수하여 전기 에너지로 전환하는 소자
○ 유사 광전효과
○ 빛 에너지가 공핍 영역에 닿으면 전자-양공 쌍이 생성되어 전류가 흐르는 원리
○ 즉, p형 반도체에 있는 전자가 n형 반도체의 전도띠로 전이하여 양공과 자유전자가 동시에 발생함
○ 센서 역할 : 광전류는 역바이어스 전압에 의존하지 않고 빛의 양에만 비례함 (∵ 광전효과도 전자수가 빛의 양에 비례)
○ 역방향 바이어스 회로
○ 의미 1. 빛의 감도를 좋게 하려면 역방향 바이어스를 통해 공핍 영역을 증가시켜야 함 (즉, 역치를 높임)
○ 의미 2. 태양광 자극이 없을 때 태양광 충전 배터리 전류가 흐르는 것을 막기 위해 충전 배터리를 역방향 바이어스로 연결
○ (참고) 암전류 : 빛을 인가하지 않아도 흐르는 전류
○ 예 1. CD 플레이어, 화재경보기, 리모컨 수신부
○ 예 2. 태양 전지
ⓐ : 전자의 방향, ⓑ : 전류의 방향, X는 n형 반도체
○ 예 3. 디지털 카메라의 이미지 센서 (CCD)
○ 빛의 경로 : 렌즈 → CCD → 전류 신호로 변환 → 감지된 빛은 세기와 위치에 따라 밝기, 색상, 좌표 정보를 추출
○ 가시광선에서 동작해야 하므로 문턱 진동수는 가시광선보다 작아야 함
○ 예 4. 다중채널 광자검출기 (광 다이오드 배열 분광광도계)
○ 회전발에 의해 분산된 복사선을 각 파장별로 동시에 측정함
○ 주로 실리콘 다이오드 검출기 1024개 또는 2048개를 배열로 만들어 사용함
○ 장점 : 빠른 속도, 우수한 재현성, 여러 파장에서의 동시 측정
○ 단점 : 낮은 분리도 (1 ~ 3 nm) (분산형은 0.1 nm 가능), 광원의 세기 및 검출기 감응으로 인한 오차
○ 실시간 분광광도계에 이용됨
○ 예 5. pn 포토다이오드, pin 포토다이오드, 애벌랜치 포토다이오드, 포토트랜지스터, PSD, 1차원·2차원 어레이
⑹ 응용
① 크리스탈 라디오 수신기 (cat's whisker) : 최초로 상업화된 다이오드 회로
② 광 다이오드 : CD 플레이어, 화재경보기, 리모컨 수신부, 태양 전지, CCD
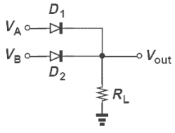
③ 입력 전압의 최댓값 출력

Figure. 18. 다이오드를 이용한 입력 전압의 최댓값 출력

④ 정류기(rectifier)
3. 정류기 [목차]
⑴ 정류 : 교류 전압을 직류로 전환하는 과정
⑵ 반파 정류회로(half-wave rectifier circuit)
① 회로도
Figure. 19. 이상적 다이오드에 대한 반파정류 회로와 부하전압 곡선
○ 순방향 바이어스의 경우 다이오드의 저항은 0이므로 전원의 전압이 그대로 부하에 전달
○ 역방향 바이어스의 경우 다이오드의 저항은 ∞이므로 전원의 전압은 0
② 실제 다이오드
Figure. 20. 실제 다이오드에 대한 반파정류 회로와 부하전압 곡선
○ 실제 다이오드는 이상적 다이오드와 역방향 바이어스로 연결된 정전압으로 간주할 수 있음
○ 전원전압은 위 정전압 Vd만큼 아래로 평행이동한 것으로 간주할 수 있음
○ 부하전압은 그 중 양의 부분만 취한 것으로 간주할 수 있음
② 커패시터를 사용한 반파 정류회로
Figure. 21. 커패시터를 사용한 반파 정류회로 회로도
○ 구간 1. 0 ~ ¼ T
○ 커패시터는 전원 전압에 따라 충분히 빠르게 충전된다고 가정
○ 시간상수는 RC이므로 위와 같은 가정은 C가 작다는 가정과 동일함
○ C = ∞은 전선을 의미하고 C = 0은 개방을 의미
○ C가 0이 아닌 이상 실제로는 커패시터 전압이 전원 전압을 완벽하게 따라가지는 못함
○ 구간 2. ¼ T ~
○ 전원 전압이 커패시터 전압보다 낮으므로 커패시터는 방전을 시작
○ 위와 같은 방전은 지수를 함수를 그리고 전원 전압보다 감소하는 추세가 작음
○ 부하 저항이 커야 방전이 덜 됨 → 더 평탄화됨
○ 구간 3. ~ ¾ T
○ 감소하는 커패시터 전압과 다시 상승하는 전원 전압이 만나기 시작
○ 만나고 난 후 전원 전압을 따라서 커패시터 전압이 상승하기 시작
○ 구간 4. ¾ T ~
○ 전원 전압은 커패시터 전압보다 빠르게 감소
○ 커패시터 전압은 방전을 시작하고 지수함수를 따라 감소
○ 결론 : 커패시터의 존재는 전압 곡선을 평평하게 함
⑶ 전파 정류회로(full-wave rectifier circuit)
① 반파 정류회로의 단점
○ 반파 정류회로는 차단되는 전류가 많음
○ 반파 정류회로에서 커패시터가 방전되는 시간이 긺
② 전파 정류회로 : 모든 입력 에너지를 활용할 수 있게 만든 것
③ 종류 1. 브릿지 전파 정류회로(bridge full-wave rectifier circuit) : 다이오드 4개 사용
○ 회로도
○ 이상적 다이오드로 구성된 회로에 비해 문턱 전압의 두 배만큼 강하됨
○ 저항에 커패시터를 병렬로 연결하면 반파 정류회로보다 더 평활화된 출력을 얻을 수 있음
④ 종류 2. 중간탭 전파 정류회로(center-tap full-wave rectifier circuit) : 다이오드 2개 사용
○ 회로도
○ 커패시터를 사용한 중간탭 전파 정류회로
Figure. 26. 커패시터를 사용한 중간탭 전파 정류회로
⑷ 클리핑 회로(리미팅 회로, clipper circuit, limitting circuit) : 저항과 다이오드의 분배
① 정의 : 입력 전압이 특정 값을 초과하지 않도록 잘라내는 회로
○ 경우 1. VOUT < VBIAS + 0.7 : VOUT = VIN (∵ 역방향 바이어스)
○ 경우 2. VOUT > VBIAS + 0.7 : VOUT = VBIAS + 0.7 (∵ 순방향 바이어스)
○ 논리적 순서를 바꾸어서 VOUT에 대해서 경우를 나누어서 분석해야 함
○ 0.7 V는 문턱전압을 표시하고 있음
② 양방향 동시 제어도 가능
○ 경우 1. VOUT < -6 - 0.7 : VOUT = -6 - 0.7 = -6.7
○ 경우 2. -6 - 0.7 < VOUT < 4 + 0.7 : VOUT = VIN
○ 경우 3. VOUT > 4 + 0.7 : VOUT = 4.7
⑸ 클램핑 회로(clamper circuit) : 커패시터와 다이오드의 분배
① 정의 : 입력 신호의 파형을 변화시키지 않고 일정한 레벨로 이동시키는 회로
② 회로도
○ 좌측 상단의 전위는 입력 전압, 우측 상단의 전위는 출력 전압임
○ 가정 1. R = ∞ : 그럼에도 충분히 큰 저항을 다이오드와 병렬연결하는 것은 현실적인 이유가 있기 때문으로 추정
○ 가정 2. C가 충분히 큼 : 커패시터는 시간상수가 커서 전압이 잘 변하지 않음. 제2의 전원처럼 기능
○ 회로를 해석할 때는 평형상태를 기준으로 생각해야 함
○ 평형상태에서 커패시터는 최대 전압에 해당하는 전원으로 간주
○ negative clamper : 다이오드의 P형 반도체가 출력전위, N형 반도체가 접지인 경우. 위 그림이 해당

○ 1번 경우는 구간이 아니라 포인트에 대해서만 성립하기 때문에 2번 경우와 차이가 있음
○ 그럼에도 1번 경우가 중요한 이유는 VC, constant를 도출해 주기 때문
○ 모든 클램핑 회로는 위와 같이 경우의 수 접근을 통해 풀 수 있음
○ positive clamper : 다이오드의 N형 반도체가 출력전위, P형 반도체가 접지인 경우
○ 위 그림에서 다이오드를 뒤집은 상황을 고려 : 입력전압은 동일

○ 모든 클램핑 회로는 위와 같이 경우의 수 접근을 통해 풀 수 있음
○ 커패시터가 완전히 충전된 후에야 주어진 회로가 입력 신호를 클램핑하는 회로로 정상 작동함
Figure. 30. 커패시터 충전 여부와 클램핑 회로
○ (참고) 실제로는 클램핑 회로를 구현하는 것은 굉장히 어려움
⑹ bridge rectifier : 휘스스톤 브릿지를 이용
입력 : 2018.01.27 08:55
수정 : 2022.09.11 20:22
'▶ 자연과학 > ▷ 회로이론' 카테고리의 다른 글
| 【회로이론】 9강. 반도체 증폭회로 (0) | 2019.11.25 |
|---|---|
| 【회로이론】 8강. 트랜지스터 (1) | 2019.11.08 |
| 【회로이론】 인류 마지막 시험 ― 회로이론편 (0) | 2019.02.16 |
| 【회로이론】 5-3강. 함수 생성기(function generator) 사용법 (0) | 2016.09.24 |
| 【회로이론】 5-2강. 오실로스코프(oscilloscope) 사용법 (0) | 2016.09.24 |
최근댓글