16-1강. 약리학(PK/PD)
추천글 : 【화학】 16강. 반응속도론, 【생물학】 37강. 생물학 실험
1. 개요 [본문]
2. 약력학 [본문]
3. 약동학 [본문]
4. 임상시험 [본문]
a. 약물 시너지 모델링
b. 약물 라이브러리
c. 약물 클래스 라이브러리
1. 개요 [목차]
⑴ 약리학(pharmocology) : 약물과 약물의 투입에 따른 생체의 반응을 연구하는 생화학
⑵ 약력학과 약동학의 차이
① 약력학 : 수용체, 이온채널, 효소, 면역계 등과 관련
② 약동학 : 흡수(absorption), 분포(distribution), 대사(metabolism), 배설(excretion)과 관련
○ 위 네 가지 항목을 통틀어 ADME라고 함
2. 약력학(pharmadynamics; PD) [목차]
⑴ 개요
① 정의 : 수용체, 이온채널, 효소, 면역계 등과 관련
② 효소 억제제나 약의 활성을 보기 위해 1상 임상에서 주로 약력학에 대한 테스트가 진행됨
⑵ 상수 1. Ki (inhibition constant)
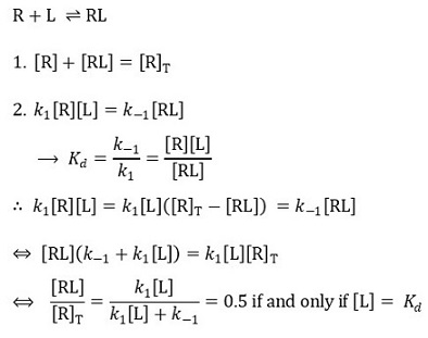
⑶ 상수 2. Kd (dissociation constant)
① 정의 : 해리반응의 평형상수로 Kd가 클수록 해리가 잘 일어남
② Ki보다 Kd가 더 자주 사용됨 : 그래프를 통해 Kd를 쉽게 결정할 수 있기 때문
③ 관계식

④ 그래프 해석 : [R·L] / [R]T가 0.5가 될 때의 리간드 농도 [L]가 Kd가 됨

Figure. 1. Kd에 대한 그래프 해석
⑷ 상수 3. Bmax
① 수용체의 전체 농도
② 단위 : ligand bound / mg protein
⑸ 상수 4. IC50
① IC50 : 원래 리간드의 50%가 해리될 수 있는 저해제의 농도
○ competitive binding : 수용체에 고정된 농도의 hot ligand를 먼저 처리한 뒤 cold ligand의 농도를 달리 처리하여 hot ligand가 해리되는지를 보는 것
② 약물-반응 곡선(dose-responce curve, DRC)
③ Cheng Prusoff equation : 고정된 리간드 농도 [L], 미카엘리스 상수 Km에 대하여,

⑹ 상수 5. LC50
① 약물-반응 곡선
3. 약동학(pharmakinetics; PK) [목차]
⑴ 정의 : 흡수(absorption), 분포(distribution), 대사(metabolism), 배설(excretion)과 관련
① 위 네 가지 항목을 통틀어 ADME라고 함
② 독성(toxicity)까지 더해 ADMET라고 부르기도 함
③ PK 파라미터
○ 생체이용률 F (%) = 전신순환도달량 (mg) / 투여량 (mg) × 100
○ 흡수속도상수 ka (/hr) = 전신순환도달속도 (mg/hr) / 흡수될 양 중 흡수부위 잔존량 (mg)
○ 분포용적 Vd (L) = 체내존재량 (mg) / 혈장농도 (mg/L)
○ 청소율 CL (L/hr) = 제거율 (mg/hr) / 혈장농도 (mg/L)
⑵ 모델 1. monoexponential model
① 그래프 : 반응속도론의 1차 반응과 대응됨
Figure. 4. monoexponential model

○ AUC(area under the curve)
○ 제거되는 속도(elimination rate) k는 다음과 같이 정의됨

○ initial dose를 두 배로 올리는 경우 : 반감기 일정, 체내 잔류시간은 오직 1 반감기만 길어짐
② 반복 투약(chronic dosing)을 통한 정상 상태(steady state)
○ 약 5 반감기 정도 지나면 정상 상태에 이름
○ loading dose : 정상 상태에 보다 빠르게 이르게 하기 위해 initial dose를 높이는 것. 반감기가 긴 경우 중요
⑶ 모델 2. multicompartment model
① 그래프
Figure. 7. multicompartment model의 그래프
② 각 phase 설명
○ phase 1. absorption phase
○ 처음 섭취했을 때 약을 active하게 만들기 위해 oxidation, reduction 등이 일어남
○ 그 뒤 배설을 위해 약을 inactive하게 만들기 위해 sulfaction, glucuronidation, acetylation 등이 일어남
○ phase 2. postabsorption phase (distribution phase)
○ phase 3. elimination phase
○ Cmax, tmax (Cmax에서의 시간)
Figure. 8. multicompartment model의 세 phase
③ ABC(accelerated blood clearance)
○ 정의 : 약제를 혈중 주사했을 때 초반에 빠르게 배설되고 후반에 천천히 배설되는 현상
○ 나노약제의 ABC 현상에 IgM 항체가 관여하는 것으로 알려져 있음
⑷ 약동학 실험
① urine으로 모두 배출이 되지 않았으면 체내에 누적된 것으로 해석할 수 있음
② metabolite로 거의 변환되지 않았으면 bioavailability가 떨어진다고 해석할 수 있음
③ oral administration과 IV administration에서의 AUC가 거의 일치하면 흡수성 및 친수성이 강하다고 해석할 수 있음
④ 종양학(oncology) 연구에서 tumor to liver ratio가 0.5 이상이면 약동학적 특성이 좋은 약제라고 할 수 있음
⑴ 개요
① 약물 개발 단계
○ 약물 탐색 : 3 ~ 5년
○ 전임상 : 1 ~ 2년
○ 임상시험 : 6 ~ 7년
○ FDA 허가 : 1 ~ 2년
② 매해 약 50 ~ 60개의 신약이 FDA 승인을 받음
③ 점점 비용이 증가하고 실패율은 90%에 상당함
④ 대부분의 실패 요인은 치료 효과가 없다는 것
○ 이를 방지하기 위해 1상에서도 efficacy와 dose finding을 찾으려는 노력을 하고 있음
○ 더 빨리 사람에 투약해서 보기 위해 phase 0 study도 도입되고 있음
○ PET imaging을 이용하는 것도 하나의 전략이 될 수 있음
⑵ 1상 임상실험 : 탐색적 임상시험
① 20 ~ 80명 수준
② 유형 1. 안정성을 보는 게 목적이라면 건강 자원자를 대상으로 함
③ 유형 2. anti-cancer drug : 암 말기 환자 등 소수의 지원자들에게 시험됨
④ 목적
○ 약동학(parmacokinetics) : ADME에 관한 이론
○ 상호작용(interaction)
○ 안정성(safety) (dose dependent)
○ MTD(maximum tolerated dose), tolerable dose range, 용량-내약성 연구
○ PK / PD 연구
⑤ 방법
○ dose 대 effect 곡선 : NOAEL, NOEL, MED(min effective dose), MABEL
○ single dose rising, multiple dose rising
○ drug-drug interaction
⑶ 2상 임상실험 : 보다 많은 수의 사람들을 대상으로 시험됨. 탐색적 임상시험
① 100 ~ 200명 수준
② 전기 2상 임상시험 (IIa) : 유효성(efficacy) 검사
③ 후기 2상 임상시험 (IIb) : 투약량 탐색(dose finding)
⑷ 3상 임상실험 : 시판 허가를 얻기 위해 마지막 단계의 임상시험. 확증적 임상시험
① 통계적으로 확증하기 위해 대규모 수준(large scale)으로 진행
② 목적 : 안정성(safety)과 치료효과(effectiveness) 확증
③ 일반적으로 시판 승인까지 통상 5 ~ 6년 걸림 (long-term)
⑸ 4상 임상실험 : 신약의 시판 사용 후 장기간의 효능 및 안전성 평가
① 시판 후 조사
입력: 2022.04.22 12:07
'▶ 자연과학 > ▷ 일반화학' 카테고리의 다른 글
| 【화학】 16-2강. 약물 시너지 모델링 (3) | 2022.10.02 |
|---|---|
| 【화학】 24강. 일반화학 실험 (3) | 2022.07.06 |
| 【화학】 15-2강. 전기화학 반응속도론과 배터리 (2) | 2022.04.21 |
| 【화학】 16-1-1강. radioligand binding assay (0) | 2022.01.15 |
| 【화학】 16강. 반응속도론 (7) | 2021.12.19 |







최근댓글