본문 바로가기

Contact English

【물리학】 광학 4강. 양자광학 2부

 

광학 4강. 양자광학 2부

 

추천글 : 【물리학】 물리학 목차 


1. 간섭 [본문]

2. 산란 [본문]

3. 흡수 [본문]

4. 이완 [본문]

5. 생성 [본문]


a. 양자광학 1부


 

1. 간섭 [목차]

⑴ 개요

① 빛의 파장보다 큰 매질에서 광자가 일반적으로 일으키는 현상

② 보강간섭과 상쇄간섭

종류 1. 빛의 직진 : 빛의 간섭의 일종

류 2. 빛의 반사 : 빛의 간섭의 일종

종류 3. 빛의 굴절 : 빛의 간섭의 일종

종류 4. 빛의 편광

① 개요

 정의 : 어느 한 방향으로만 진동하는 빛

 (참고) 자연광은 진행 방향에 수직한 모든 방향으로 진동함

 편광은 빛이 횡파임을 보여주는 중요한 증거 

응용 1. 말루스 법칙(Malus law)

 

 

응용 2. 브루스터의 법칙

○ 정의 : 반사광과 굴절광이 이루는 각이 직각이 되면 반사광과 굴절광은 각각 편광됨

응용 3. 복굴절

복굴절된 두 빛을 각각 정상광선과 이상광선이라고 함

정상광선과 이상광선은 각각 편광된 빛 

응용 4. 산란 

산란된 빛은 서로 수직으로 진동하는 두 종류의 편광된 빛

 

 

2. 산란(scattering) [목차]

⑴ 개요 

① 정의 : 빛이 파장보다 작은 입자가 있는 매질을 통과할 때 진행 방향에서 이탈하여 다른 방향으로 가는 현상

광자와 입자가 충돌하는 것으로 이해할 수 있음

③ 산란된 빛은 서로 수직으로 진동하는 두 종류의 편광된 빛

종류 1. 탄성 산란(elastic scattering)

① 정의 : 산란 시 에너지 변화가 없는 경우. 입사 파장과 산란 파장이 같음

1-1. 레일리 산란(Rayleigh scattering) : 파장이 입자의 크기보다 훨씬 큰 경우

○ 산란 강도 I, 파장 λ에 대해 레일리 산란식은 다음과 같음

 

    

○ 짧은 대기층 (낮) 

○ 적색, 노란색, 주황색 빛은 거의 투과됨

○ 보라색 빛은 산란을 많이 하여 눈에 도달하지 못함

○ 파란색 빛은 적당히 산란되므로 하늘이 푸른색으로 보이도록 함

○ 긴 대기층 (저녁)

○ 낮의 약 40배 두께의 대기층을 통과하여야 함

파장이 긴 붉은색, 주황색, 노란색 빛만이 눈에 도달함

○ 파란색 빛, 보라색 빛은 산란을 많이 하여 눈에 도달하지 못함

우주 공간 : 산란할 기체 입자가 없으므로 검은색으로 보임 

○ 화성에서의 일몰 : 기체가 희박하므로 푸른색 일몰이 관찰됨 

 

출처: 이미지 클릭

Figure. 1. 화성에서의 일몰

 

1-2. 미 산란(Mie scattering)

파장이 입자 크기와 비슷한 경우의 산란

○ 모든 파장대를 산란시키므로 하얀색 산란광이 관찰됨 

1-3. 틴들 현상(틴달 현상, Tyndall phenomenon)

○ 정의 : 콜로이드 내 입자들로 인해 입사한 빛의 궤도가 보이는 것

○ 레일리 산란과 유사하게 특정 파장대를 산란시키지만 레일리 산란 조건 및 산란 궤도가 상이함

○ 현재까지 틴들 현상을 정확하게 기술하는 수학적 공식은 없음

종류 2. 비탄성 산란(inelastic scattering) 

① 정의 : 산란 시 에너지 변화가 있는 경우. 입사 파장과 산란 파장이 다름

2-1. 라만 산란(Raman scattering)

레일리 산란에 대하여 얼마만큼 shift 됐는지에 따라 Raman shift로 표시함

○ 적외선 분광법과 같이 직접적으로 진동 에너지를 측정할 수 없음

○ Raman shift의 단위는 cm-1 

 양자역학적 이해 : 라만 산란 전후의 에너지 차이가 분자의 진동 에너지와 대응함

 물질이 에너지를 얻는 경우를 Stokes 산란이라고 함

○ 물질이 에너지를 잃는 경우를 anti-Stokes 산란이라고 함

○ 바닥 상태에 있는 분자가 진동 여기상태에 있는 분자보다 많기 때문에 Stokes 산란이 anti-Stokes 산란보다 많음

 응용 : 라만 분광법 

2-2. 콤프턴 산란(Compton scattering)

2-3. 브릴루앙 산란

2-4. 비탄성 X-ray 산란

 

 

3. 흡수(absorption) [목차]

⑴ 정의 : 빛이 물질에 흡수되어 소멸하는 것

종류 1. 물질의 종류에 따른 흡수 : 분광학 중 UC-vis spectroscopy 

종류 2. 물질의 농도에 따른 흡수 : 램버트-비어의 법칙(Lambert-Beer's law)

 

 

① I : 빛의 세기

② d : 빛이 투과하는 경로의 길이

③ a : 매질에 따른 흡광계수

④ T : 투과율

⑤ A : 흡광도 (단위 : OD(optical density))

⑥ c : 몰농도

⑦ ε : 몰 흡광계수

⑷ 색(color)

① 정의 : 물질에 따라 가시광선을 선택적으로 흡수하여 시각적으로 다르게 지각하는 특성

색광학 

 

 

4. 이완(relaxation) [목차]

⑴ 정의 : 빛 에너지가 다른 형태의 에너지로 변환되는 것

 종류 1. 비복사이완 : 광열효과(photothermal effect)라고도 함 

① 정의 : 흡수된 에너지가 열에너지로 방출되는 것

○ 전자기파의 전계 내에 놓은 분자는 분극, 회전, 진동, 마찰을 하여 열을 발생시킴 (온도 상승) 

② 식품 가열용으로 13.56 ~ 24.125 GHz 범위가 이용됨

○ 주로 2.45 GHz가 이용됨

○ 사용하는 파장대에 따라 마이크로 가열과 라디오파 가열로 구분하기도 함

③ 유전체의 단위 체적당 발생하는 열에너지

 

 

○ f : 주파수 (Hz)

○ E : 전계 크기 

○ ε" = ε tan δ, tan δ : 손실계수인 듯 (아닐 수도 있음)

④ 응용 : 식품의 가열, 종자의 발아율 향상, 건조, 해충 박멸

종류 2. 형광이완

① 정의 : 흡수된 에너지가 빛에너지로 방출되는 것

② 공명 형광이완 : 흡수된 복사선의 주파수와 같은 주파수를 갖는 복사선을 발광하는 현상

③ FRAP과 FLIP 실험

○ FRAP 실험 : 표백한 형광 막단백질의 복원성 평가 실험 등에서 이용됨

○ FLIP 실험 : 형광 막단백질의 이탈성 평가 실험 등에서 이용됨

종류 3. 광전효과

① 정의 : 빛에너지가 광전자를 방출시키는 것

X선 광전자 분광법(XPS, X-ray photoelectron spectroscopy)의 원리가 됨

 

 

5. 생성(generation) [목차]

⑴ 흑체복사(black body radiation) 

① 정의 : 에너지를 가진 모든 물체가 빛을 발하는 현상 

② 흑체(blackbody) : 입사된 에너지를 모두 흡수하고, 흡수한 모든 에너지를 완전히 방출하는 물체

파동의 상태수 개수(number of modes)

현에서의 정상파를 기준으로 함

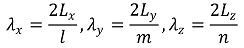
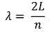
○ 1차원 정상파 : 현의 길이가 L일 때, 파동의 상태수 n (단, n은 자연수)에 따라 다양한 진동수의 정상파가 존재함

 

 

○ 3차원 정상파 : 파동의 상태수 벡터 (l, m, n)에 따라 다양한 진동수의 파동(이 경우, 빛)이 존재함 

 

 

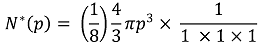
○ 상태수 벡터를 직교좌표계에 대응시킬 수 있음 : l, m, n이 양의 정수이기 때문에 1/8구(octant)를 고려함

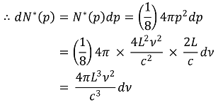
○ 파동의 상태수 개수 : 원점으로부터의 거리를 p, 반지름이 p인 1/8 구 내 격자점의 개수를 N*(p)라 할 때,

 

 

상태수 개수(N*)와 진동수(ν)의 관계

 

 

○ 위 식은 같은 상태수여도 위상이 반대인 2개의 파동이 있을 수 있다는 것을 고려하지 않음

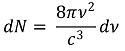
○ 결론 : 공간의 부피 V = L3, 단위 부피당 상태수 개수 N = N* / V에 대하여,

 

 

레일리-진스 법칙(Rayleigh-Jeans law)

개요 : 흑체복사를 파동성으로 분석하려고 하면 UV 파탄이 관찰돼야 함

열역학에서 계의 평균 진동 에너지 : 각 방향에 대한 병진, 회전과 달리 진동 그 자체로 자유도 2를 할당함

 

 

○ 진동수 ν에서 단위 부피당 평균 방사 에너지 

 

 

UV 파탄(UV catastrophy) : 흑체가 파장이 0 근처의 빛을 무한대 가깝게 발산하는 것

 

 

실제로는 파장이 0 근처의 빛은 세기가 0으로 수렴

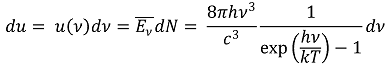
⑤ 플랑크 법칙(Planck's law)

막스 플랑크(Max Planck)가 입자성을 도입하고 E = hν를 가정하여 성공적으로 설명 (1900년) 

○ 광자 한 개의 에너지

 

 

○ 진동수가 ν인 광자가 n개 있을 확률 : 특정 에너지의 입자의 확률이 지수함수라는 맥스웰-볼츠만 분포에서 착안

 

 

○ 계의 평균 에너지

 

 

진동수 ν에서 단위 부피당 평균 방사 에너지

 

 

○ 플랑크 곡선 : 흑체에서 방출하는 복사에너지의 파장에 따른 분포. 흑체의 복사에너지 분포는 온도에만 관계

 

출처 : 2011 MEET 42번

Figure. 2. 플랑크 곡선]

 

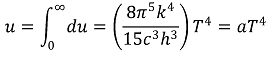
○ 계의 단위 부피당 전체 에너지

 

 

○ 광자의 플럭스 

 

 

 스테판-볼츠만 법칙 : 흑체가 단위면적당 단위시간에 방출되는 에너지는 흑체의 절대온도 T(K)의 네제곱에 비례 

 

 

○ 실제 물체의 경우 위 식에서 반사율 ε을 곱해주기도 함 

단, σ : 볼츠만 상수, 8.22 × 10-11  

빈의 변위 법칙(Wien's displacement law) : 최대 복사 에너지를 내는 파장 λmax (㎛)은 흑체의 절대온도 T(K)에 반비례

 

 

단, α : 빈의 상수, 2.89 × 103 

파울리 배타원리 

○ 정의 : 한 궤도 상에 모든 양자수가 동일한 전자가 둘 이상 존재할 수 없음

플랑크 곡선이 연속적인 그래프로 나오는 이유

○ 많은 원자들이 모여 있으면 에너지 준위들이 겹치다가 약간씩 밀려나면서 에너지 준위가 연속적으로 나타남

출처: 이미지 클릭; Callister & Rethwisch 5e

Figure. 3. 오비탈 중첩에 따른 에너지 준위의 갈라짐]

출처 : 이미지 클릭; Callister & Rethwisch 5e

Figure. 4. 오비탈 중첩에 따른 에너지 밴드의 형성]

 

발광다이오드

레이저

하전 입자의 가속 운동 

형광

체렌코프 방사

bremsstrahlung

high Z metal에 의한 섬광 

표면 플라즈몬 공명 

 

입력: 2020.03.30 18:06