xFuse의 이해 (ref)
추천글 : 【생물정보학】 생물정보학 분석 목차
1. 개요 [본문]
2. step 1. forward scheme [본문]
3. step 2. inference [본문]
4. step 3. prediction [본문]
5. 프로그램 실행 [본문]
1. 개요 [목차]
⑴ 목적 : 저해상도의 ST 라이브러리를 고해상도의 ST 라이브러리로 만드는 것
① 전체 스팟의 개수는 Visium 프로토콜 기준으로 최대 4992개에 불과함 : 상당히 저해상도라고 할 수 있음
⑵ 배경 이론
① 이산확률이론
② 연속확률이론
③ CNN(convoluted neural network)
⑶ 가정
① I : 가우시안 분포를 따른다고 가정
② X : 음이항 분포를 따른다고 가정
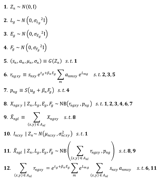
2. step 1. forward scheme [목차]
⑴ 변수 1. 이미지 데이터 입력
① n : 각 스팟을 나타내는 변수
② In : histological image data of each section n
③ (x, y) : pixel coordinates
④ c : image channels
⑵ 변수 2. ST 데이터 입력
① n : 각 스팟을 나타내는 변수
② Xn : spatial expression data of each section n
③ m : metagene
⑶ 변수 3. 출력
① sn : pixel-wise scaling factor
② an : matagene activity
③ μn : image distribution mean
④ σn : standard deviation
⑤ X : super-resolved expression to the observed expression X̃
⑷ 변수 4. 모델
① G : convolutional generator network. U-net과 비슷하게 설계
② Z : latent tissue state
③ θ : learnable parameter
④ rngxy : number of failures before stopping for each n, g, x, and y
⑤ png : success probability for each n and g
⑥ L : weight matrix
⑦ tg, ug : gene-specific baseline
⑧ E, F : fixed effects to control for condition-wise batch effect
⑨ βn : row vector of concatenated indicator variable
⑸ 수식화

① 9번 수식은 super-resolved expression X와 observed expression X̃를 연결시킴
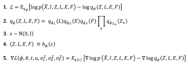
3. step 2. inference [목차]
⑴ 정의 : observed expression X̃과 이미지 I를 가지고 Zn, L, E, F를 알아내는 과정
⑵ 변수 정의
① φ : variational parameter
② R : convolutional recognition network. U-net과 비슷하게 설계
③ hφ : appropriate shift-and-scale transformation
⑶ 수식화

① φ는 posterior에 대한 variational distribution qφ에서 Kullback-Leiber divergence를 최소화함으로써 얻어짐
② L : objectvice function
○ Monte Carlo sampling을 통해 계산됨
○ 위와 같은 L을 ELBO(evidence lower bound)라고도 함
③ 파라미터를 업데이트할 때 Adam optimizer를 사용
4. step 3. prediction [목차]
⑴ 정의 : 학습한 모델을 가지고 특정 통계량을 예측하는 과정
⑵ 변수 정의
① χ : differnet quantity
②{A1, ···, AK}: arbitrarily defiend area
③ νk : spatial gene expression in a specific defined area Ak. 주어진 확률 분포에서 그 평균값과 관련
④ Xk : read count in a specific defined area Ak. 주어진 확률 분포에서 그 관측값과 관련
⑤ ηg : A1, A2에서 얻은 유전자의 differential gene expression
○ normalization과 log-transformation을 고려해야 함
⑶ 수식화

5. 프로그램 실행 (RTX3090 기준) [목차]
# 1. packages
conda install git
pip install --user git+https://github.com/ludvb/xfuse@master
# 2. datasets
curl -Lo section1.jpg https://www.spatialresearch.org/wp-content/uploads/2016/07/HE_layer1_BC.jpg
curl -Lo section2.jpg https://www.spatialresearch.org/wp-content/uploads/2016/07/HE_layer2_BC.jpg
curl -Lo section3.jpg https://www.spatialresearch.org/wp-content/uploads/2016/07/HE_layer3_BC.jpg
curl -Lo section4.jpg https://www.spatialresearch.org/wp-content/uploads/2016/07/HE_layer4_BC.jpg
curl -Lo section1.tsv https://www.spatialresearch.org/wp-content/uploads/2016/07/Layer1_BC_count_matrix-1.tsv
curl -Lo section2.tsv https://www.spatialresearch.org/wp-content/uploads/2016/07/Layer2_BC_count_matrix-1.tsv
curl -Lo section3.tsv https://www.spatialresearch.org/wp-content/uploads/2016/07/Layer3_BC_count_matrix-1.tsv
curl -Lo section4.tsv https://www.spatialresearch.org/wp-content/uploads/2016/07/Layer4_BC_count_matrix-1.tsv
curl -Lo section1-alignment.txt https://www.spatialresearch.org/wp-content/uploads/2016/07/Layer1_BC_transformation.txt
curl -Lo section2-alignment.txt https://www.spatialresearch.org/wp-content/uploads/2016/07/Layer2_BC_transformation.txt
curl -Lo section3-alignment.txt https://www.spatialresearch.org/wp-content/uploads/2016/07/Layer3_BC_transformation.txt
curl -Lo section4-alignment.txt https://www.spatialresearch.org/wp-content/uploads/2016/07/Layer4_BC_transformation.txt
# 3. CUDA 설치
pip install torch==1.7.1+cu110 torchvision==0.8.2+cu110 -f https://download.pytorch.org/whl/torch_stable.html
xfuse convert st --counts section1.tsv --image section1.jpg --transformation-matrix section1-alignment.txt --scale 0.15 --save-path section1
xfuse convert st --counts section2.tsv --image section2.jpg --transformation-matrix section2-alignment.txt --scale 0.15 --save-path section2
xfuse convert st --counts section3.tsv --image section3.jpg --transformation-matrix section3-alignment.txt --scale 0.15 --save-path section3
xfuse convert st --counts section4.tsv --image section4.jpg --transformation-matrix section4-alignment.txt --scale 0.15 --save-path section4
# xfuse run my-config.toml --save-path my-run
xfuse run ./my-config.toml --save-path ./my-run
입력: 2022.01.11 09:28
'▶ 자연과학 > ▷ 생물정보학' 카테고리의 다른 글
| 【생물정보학】 유전자 스코어 라이브러리 (0) | 2022.06.21 |
|---|---|
| 【생물정보학】 유전자 라이브러리 (0) | 2022.06.02 |
| 【생물정보학】 RCTD의 이해 및 실행 (0) | 2021.06.03 |
| 【생물정보학】 CellPhoneDB의 이해 (0) | 2021.04.13 |
| 【생물정보학】 Kaplan-Meier 생존 곡선 (0) | 2021.04.13 |
최근댓글