11-1. Multi-armed Bandit (MAB)
추천글 : 【제어이론】 9강. 확률적 제어이론, 【알고리즘】 11강. 강화학습
1. 개요 [목차]
⑴ MAB(multi-armed bandits)
① 문제 정의 : 가장 payoff가 높은 최적의 arm을 선택하는 것

Figure 1. MAB
② 다음과 같은 상황에서 특히 필요
○ 목적 함수를 계산하기 어려운 경우 (black-box algorithm)
○ 명시적인 분석적 형태(analytic form)가 없는 경우
○ 특이값(singular value)이 존재하는 경우
○ 미분 가능하지 않은 경우
○ 데이터에 노이즈가 많은 경우
⑵ 두 가지 전략의 trade-off
① 행동은 exploitation, exploration으로 구분할 수 있음
② exploitation : 현재 가지고 있는 데이터로부터 얻은 empirical mean을 가지고 reward를 극대화하는 것
③ exploration : empirical mean이 true mean과 일치하도록 개선하는 것
④ 우연히 초기 데이터가 데이터의 진실한 분포와 다른 경우 exploration을 게을리 하면 잘못된 판단을 고칠 수 없음
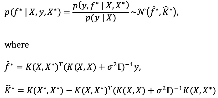
⑶ 종류 1. 베이지안 최적화(Bayesian optimization)

○ 각 arm의 reward distribution에 대해 사전 분포(prior distribution, surrogate model)이 주어져 있음
○ 주로 사용되는 prior 모델은 가우시안 프로세스
○ 각 reward를 관측할 때마다 사후 분포(posterior distribution)를 얻게 됨
② 획득함수 : 다음 보상이 극대화되도록 샘플링을 수행함

○ 모든 획득 함수는 사후 분포를 기반으로 평균 μ(x)와 분산 σ2(x)을 계산하며, 이를 통해 탐색 전략을 설계
○ 종류 1. EI(expected improvement) : 다음 수식에서 EI(x)에 대한 두 번째 식은 가우시안 프로세스일 때만 성립함
○ 단, Φ와 𝜙는 표준정규분포의 CDF와 PDF이고 Z는 x를 표준화한 것
○ λ가 클수록 exploration을 더 많이 하게 됨

○ 종류 2. MPI(maximum probability of improvement)

○ 종류 3. UCB

③ 가우시안 프로세스(Gaussian process) : 베이지안 최적화 중 정규분포 가정을 하는 경우

x <- c(-3, -1, 0, 2, 3)
f <- data.frame(x=x, y=cos(x))
x <- f$x
k_xx <- varCov(x,x)
k_xxs <- varCov(x, x_star)
k_xsx <- varCov(x_star, x)
k_xsxs <- varCov(x_star, x_star)
f_star_bar <- k_xsx %*% solve(k_xx)%*%f$y # Mean
cov_f_star <- k_xsxs - k_xsx %*% solve(k_xx) %*% k_xxs # Var
plot_ly(type='scatter', mode="lines") %>%
add_trace(x=x_star, y=f_star_bar, name="Function Estimate") %>%
add_trace(x=x_star, y=f_star_bar-2*sqrt(diag(cov_f_star)),
name="Lower Confidence Band (Function Estimate)",
line = list(width = 1, dash = 'dash')) %>%
add_trace(x=x_star, y=f_star_bar+2*sqrt(diag(cov_f_star)),
name="Upper Confidence Band (Function Estimate)",
line = list(width = 1, dash = 'dash')) %>%
add_markers(x=f$x, y=f$y, name="Obs. Data", marker=list(size=20)) %>%
add_trace(x=x_star, y=cos(x_star),line=list(width=5), name="True f()=cos(x)") %>%
layout(title="Gaussian Process Simulation (5 observations)", legend = list(orientation='h'))
④ 하이퍼파라미터 최적화
○ 최대 우도 추정(MLE)을 통해 주어진 데이터 X와 y가 발생할 확률(marginal likelihood)을 최대화하는 하이퍼파라미터를 탐색
○ marginal likelihood 및 가우시안 프로세스의 하이퍼파라미터는 다음과 같이 정의됨

○ 장점 : underfitting 및 overfitting 개선
⑷ 종류 2. stochastic multi-armed bandit
① 특징 1. online decision : 각 시간 t = 1, ···, T에서 N개의 arm 중 it번째 arm을 선택
② 특징 2. stochastic feedback : 각각의 arm이 제공하는 보상은 정해져 있지만 알려져 있지 않은 분포를 따름
③ 특징 3. bandit feedback : 각 시간 단계에서 내가 선택한 arm에 대한 보상만 볼 수 있음
④ 목표 : 전체 T 단계에 걸친 cumulative expected rewards를 최대화하는 것

⑤ reward를 최대화하는 것은 regret = μ* - μt를 최소화하는 것과 동일함. 전체 K 단계에서의 regret은 다음과 같이 정의

⑥ bandit : 강도처럼 실패했을 때 뺏어간다는 의미
⑦ 예 1. N개의 arm 중 n번 arm을 골랐을 때 belief state update 방정식

⑧ 예 2. Thomson sampling
2. ϵ-greedy exploration [목차]
⑴ 과정
① 단계 1. 맨 처음에는 arm을 모두 play
② 단계 2. (1 - ϵ)의 확률로 최대 표본평균 arm을 고르고 ϵ의 확률로 랜덤하게 arm을 선택
③ 단계 3. 각 arm 별로 표본평균을 업데이트하고 단계 2로 이동
⑵ 특징
① 전체 K 단계에서 regret RK = Ο(K) : 매 스텝에서 ϵ만큼의 오차가 누적되므로
3. UCB(upper confidence bound) [목차]
⑴ 개요
① 톰슨 샘플링과 함께 현존하는 전체 bandit 알고리즘 중 가장 많이 쓰이는 알고리즘
② UCB는 자연스럽게 exploitation과 exploration의 균형을 취함
③ 불확실성에 대한 낙관주의를 제공
⑵ 과정
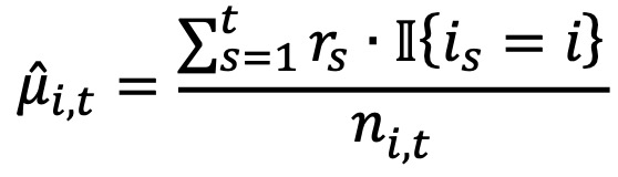
① t까지의 시간 동안 arm i에서의 empirical mean

○ 분자 : arm i에서 얻어진 reward의 총합
○ 𝕀{is = i} : is = i인 경우에만 1을 출력하고 나머지는 0인 함수
○ ni,t : t까지의 시간 동안 i가 뽑아진 횟수
○ true mean은 μi,t와 같이 표시
② 보너스 항

○ exploration을 가능하게 함
○ 다음과 같이 수렴성과 연결됨

③ UCB(upper confidence bound)

○ optimism : 실제 기댓값보다 높은 확률(99.9% 이상)로 더 높게 본다는 의미
○ 뒤의 항은 exploration을 가능하게 하고 다음과 같이 수렴성과 연결됨
④ 단계 1. 맨 처음에는 arm을 모두 play
⑤ 단계 2. 각 단계에서 UCBi,t가 최대인 arm인 it를 선택
⑥ 단계 3. 매 시간 단계마다 empirical mean과 UCB를 업데이트 : 한 번씩 관측할 때마다 uncertainty를 나타내는 UCB가 줄어듦
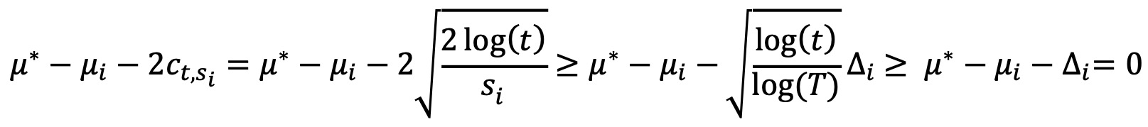
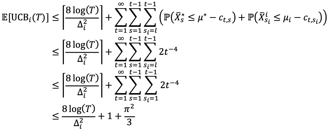
⑶ 수렴성 증명
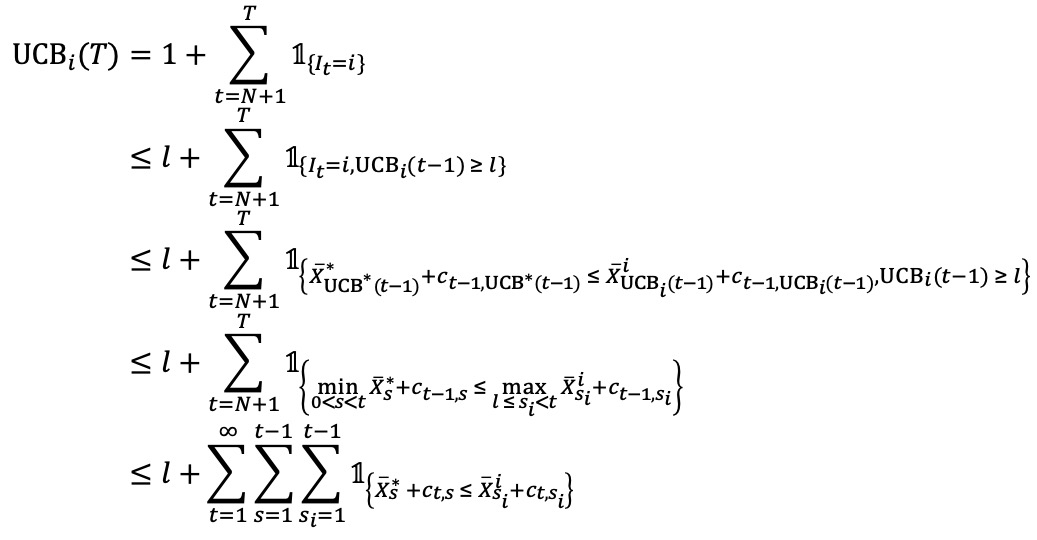
① 정리
모든 N > 1에 대해, support가 [0, 1]인 임의의 reward 분포 P1, ···, PN을 가진 N개의 arm에서 UCB 정책을 실행하면, 임의의 시행 횟수 T 후의 기대 후회

는 다음 값 이하이다.

여기서 μ1, ···, μN은 분포 P1, ···, PN의 평균이고, Δi = μ1 (best arm) - μi이다.
② 증명
ct,s := √(2 log(t) / s)라 두자. 또한 X̄ni = (1/n) ∑t=1 to n Xt와 같이 정의하자. 여기서 {Xti}t∈N은 arm i를 연속해서 당겼을 때의 보상에 대한 확률과정이다. 임의의 arm i에 대해, 우리는 어떤 play sequence에서도 UCBi(T)의 상계를 구할 것이다. 시각 t에 선택된 arm을 It라 하면, 임의의 양의 정수 ℓ에 대해 다음을 얻는다.

그런데 X̄s* + ct,s ≤ X̄sii + ct,si이면, 다음 중 적어도 하나는 성립함을 관찰할 수 있다.
X̄s* ≤ μ* - ct,s, X̄sii ≤ μi + ct,si, μ* < μi + 2ct,si
그렇지 않으면 다음과 같은 모순이 발생한다.
X̄s* + ct,s > μ* ≥ μi + 2ct,si > X̄sii + ct,si
처음 두 사건의 확률은 Azuma-Hoeffding 부등식의 변형으로 한정할 수 있다. 그 이유는 sX̄s* - sμ*와 siX̄sii - siμi가 각각 증가분이 [-μ*, 1 - μ*] 및 [-μi, 1 - μi]에 속하는, 0에서 시작하는 Martingale이기 때문이다. 따라서 다음이 성립한다.

또한, 다음이 성립한다.

여기서 si ≥ 8 log(T) / Δi2와 T ≥ t를 썼다. 따라서 ℓ = ⌈8 log(T) / Δi2⌉로 잡으면 μ* < μi + 2ct,si는 일어날 수 없고, 위의 세 부등식 중 앞의 두 개만 가능하다. 그러므로 다음을 얻는다.

따라서 𝔼[ni,T] ≤ 𝔼[UCBi(T)] ≤ 8log(T) / Δi2 + C로부터 Regret(T) ≤ 8 log(T) / Δi + C∑Δi 를 얻을 수 있다.
③ 증명 2
○ Azuma-Hoeffding inequality (관련 개념 : Martingale)

○ 수식화 : 추후 업데이트
④ 결론
○ per time regret은 0으로 수렴함 : 매 선택이 최선의 선택이 된다는 의미
○ UCB가 아니라 empirical mean을 가지고 하면 그러한 arm의 선택이 optimal하다는 보장이 없음
○ 즉, optimal arm을 한 번도 시도하지 않은 경우가 생김
⑷ 비교 : UCB vs ϵ-greedy exploration
① 차이점 1. total regret은 UCB가 O(log T), ϵ-greedy exploration가 O(T)
② 차이점 2. 평균 보상은 UCB가 ϵ-greedy exploration보다 뛰어남

Figure 2. UCB vs ϵ-greedy exploration
⑸ 비교 : UCB vs 톰슨 샘플링
① 공통점 1. total regret은 O(log T) : per time regret은 O(log T / T)로 0으로 수렴함
② 차이점 1. thomson sampling이 많은 경우 UCB보다 좋음 : 즉, UCB는 조금 더 보수적인 알고리즘으로 조금 늦게 수렴함
③ 차이점 2. UCB는 deterministic하고 thomson sampling은 probabilistic (randomized)
4. 톰슨 샘플링(Thomson sampling) [목차]
⑴ 개요
① 가장 오래된 bandit 알고리즘 : 톰슨에 의해 1933년에 소개됨. UCB보다도 오래됨
② 자연스럽고 효율적인 휴리스틱 알고리즘
③ 모드가 두 개여도 잘 작동함
⑵ 과정
① 단계 1. 각 arm에 대한 파라미터의 belief를 유지함 (예 : mean reward)
○ prior distribution은 Beta 분포, Gaussian 분포 등을 이용함
② 단계 2. 각 prior distribution으로부터 estimated reward를 추출
○ 단순한 샘플링을 의미하므로 기댓값을 추출하는 것이 아님
○ 관측값이 적으면 분산이 증가하는데 이 경우에 쉽게 추출될 수 있게 하기 위함
③ 단계 3. estimated reward가 최대인 arm을 선택하고 그 arm에 대한 posterior reward를 관찰
○ posterior distribution은 항상 연구자가 가지고 있어야 함
④ 단계 4. posterior를 Bayesian 방식에 대입하여 prior belief를 업데이트함
⑶ 예시 : Beta 분포를 이용한 Thomson sampling
① 모든 arm에 대해 Beta(1, 1)을 prior belief로 하여 시작
② 각 시간 t에 대하여,
○ prior : Beta(α, β)
○ 각 arm에 대해 독립적으로 θi,t를 추출
○ it = argmaxi θi,t인 it를 선택
○ Beta(α+1, β) : 1을 관찰한 경우
○ Beta(α, β+1) : 0을 관찰한 경우
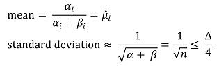
⑷ 예시 : Gaussian 분포를 이용한 Thomson sampling
① 모든 arm에 대해 N(0, ν2)을 prior belief로 하여 시작
② 각 시간 t에 대하여,
○ prior : N(0, ν2)
○ 각 arm에 대해 독립적으로 θi,t를 추출
○ it = argmaxi θi,t인 it를 선택
○ 그 arm에 대하여 empirical mean µˆ을 업데이트 (posterior) : 이때 n은 독립된 관측의 횟수

⑸ 예시 : 동적계획법 문제 (ref, ref, ref)
⑹ 수렴성
① 일정 횟수 이후에는 두 arm 간의 well-separation이 결국 best arm을 만들도록 하게 됨

② Beta 분포

③ Gaussian 분포 : Azuma-Hoeffding inequality에 근거함

⑺ UCB와 톰슨 샘플링의 비교
① 공통점 1. total regret은 O(log T) : per time regret은 O(log T / T)로 0으로 수렴함
② 차이점 1. thomson sampling이 많은 경우 UCB보다 좋음 : 즉, UCB는 조금 더 보수적인 알고리즘으로 조금 늦게 수렴함
③ 차이점 2. UCB는 deterministic하고 thomson sampling은 probabilistic (randomized)
입력: 2021.12.10 00:52
수정: 2026.03.13 16:08
'▶ 자연과학 > ▷ 알고리즘·머신러닝' 카테고리의 다른 글
| 【알고리즘】 11강. 강화학습 (0) | 2021.12.13 |
|---|---|
| 【알고리즘】 6강. 분류 알고리즘 (0) | 2021.12.11 |
| 【알고리즘】 7강. 차원 축소 알고리즘 (0) | 2021.12.03 |
| 【알고리즘】 16강. CNN 신경망 (0) | 2021.11.21 |
| 【알고리즘】 15강. 다층 퍼셉트론 (0) | 2021.11.21 |
최근댓글