추천글 : 【유기화학】 변리사 2차 유기화학 풀이
cat 님 지적사항 반영 (23.07.16)
문제 1. 다음 일련의 반응을 거쳐 주생성물 A, B, C, D를 얻었다. (단, 각 단계 반응에서 적절한 조건으로 work-up 및 분리정제 과정이 수행되었다.)

⑴ 반응물 → A : 알켄의 할로젠 기체 첨가반응 (anti-첨가)

⑵ A → B : E2 제거반응 (2당량, 콘쥬게이션 생성물 우세, 입체장애 고려)

⑶ B → C : Diels-Alder 반응 (endo 배향)

⑷ C → D : 에스터의 그리냐르 시약 첨가반응

문제 2. 다음은 두 화합물 A와 B의 스펙트럼 자료와 B가 만들어지는 반응식이다.

⑴ 문제 2-1. 화합물 A의 구조를 그리고 스펙트럼 자료로부터 추론하는 과정을 IR, 1H NMR, 13C NMR 각각의 피크를 분석하는 방법으로 설명하시오.
⑵ 답 2-1.
① 1H NMR 결과, 수소가 정확히 8개 있음
② IR 결과, C=O 작용기를 나타내는 파수가 관찰 → 산소가 적어도 1개 있음을 암시
③ 13C NMR 결과, 탄소가 적어도 4개 있음
④ MS 결과, 추가로 더 고려해야 할 원자량은 88 - 1 × 8 - 16 × 1 - 12 × 4 = 16 → 산소만 1개 더 있으면 됨
⑤ 최종 화학식 : C4H8O2 (불포화도 = 1)
⑥ C=O 작용기에 불포화도를 1을 할당했으므로 화합물 A는 고리가 아니라 선형 물질
⑦ 산소가 만들 수 있는 작용기 : 알코올, 에터, 에폭사이드, 알데하이드, 케톤, 카르복실산, 에스터
⑧ 1H-NMR에 수소 한 개에 대한 peak이 없으므로 알코올, 에폭사이드, 알데하이드, 카르복실산은 해당 없음
⑨ 화합물 A에서 산소는 2개 있고, 이들은 에터, 케톤, 에스터로만 존재 → 에스터 결합 1개인 경우밖에 없음
⑩ X-COO-Y : 이 단계에서 ethyl acetate와 methyl propanoate로 좁혀짐


⑪ 1H shift 값 비교 : R-O-CH3 (알콕시 1차 수소) > -COCH3 (케톤 알파 수소) > -CH3 (메틸 수소)
○ (ethyl acetate) 알콕시 1차 수소 : 케톤 알파 수소 : 메틸 수소 = 2 : 3 : 3
○ (methyl propanoate) 알콕시 1차 수소 : 케톤 알파수소 : 메틸 수소 = 3 : 2 : 3
○ (실제 주어진 조건) 알콕시 1차 수소 : 케톤 알파수소 : 메틸 수소 = 3 : 2 : 3
○ 일반적인 1H-NMR 값

○ 위 표에서 알콕시 1차 수소의 3.3 ppm 값은 이 문제의 3.65 ppm 값과 대응
○ 위 표에서 케톤 알파 수소의 2.1 ppm 값은 이 문제의 2.32 ppm 값과 대응
○ 위 표에서 메틸 수소의 0.85 ppm 값은 이 문제의 1.11 ppm 값과 대응
⑫ 정답 : methyl propanoate (CH3CH2COOCH3)
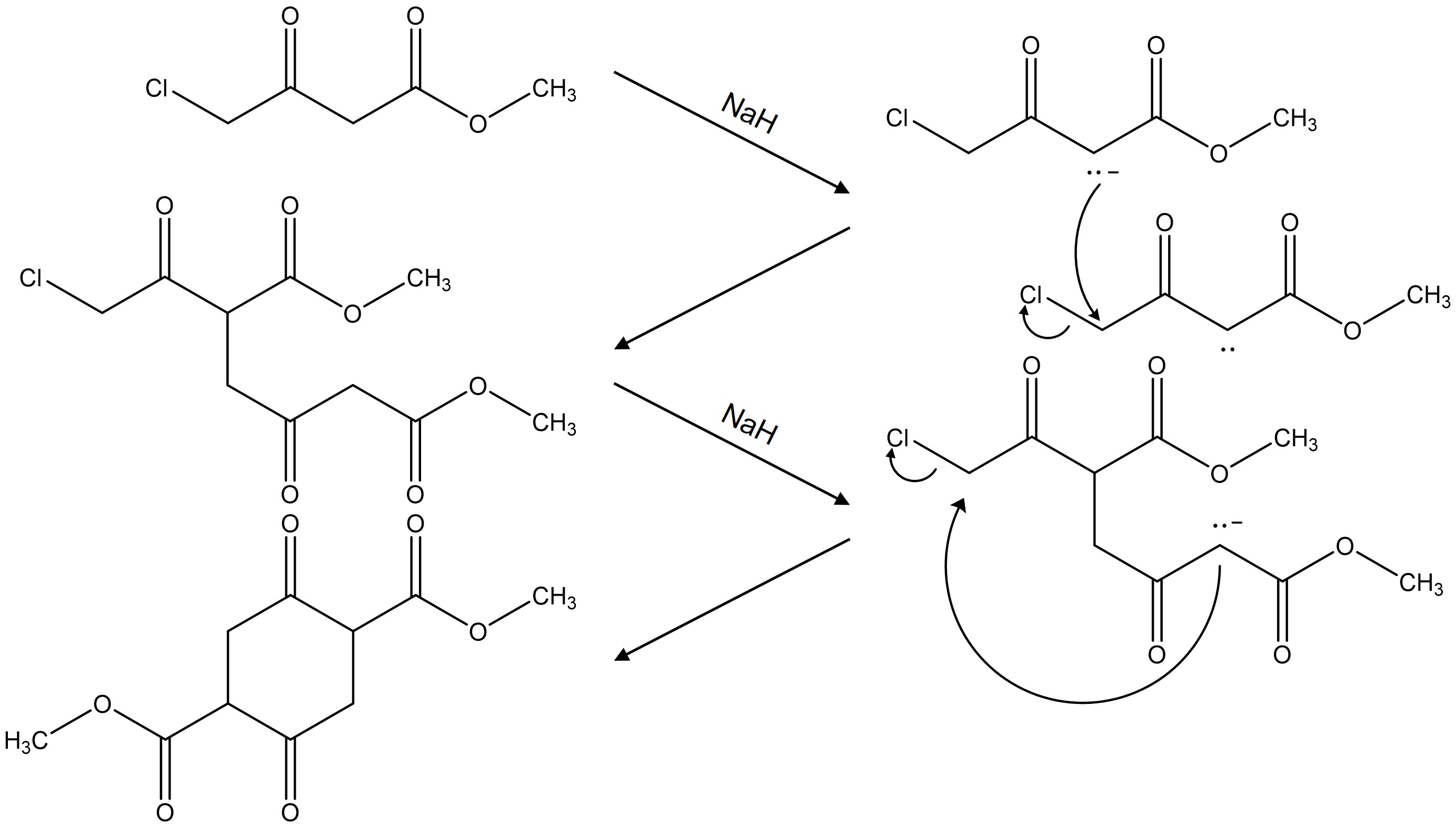
⑶ 문제 2-2. 화합물 B의 구조를 그리고, 13C NMR 피크 δ = 208.3 ppm에 해당하는 탄소를 제시하시오.
⑷ 답 2-2.
① 2 × 반응물의 분자량 - 생성물 = 73 = 2 × HCl의 분자량이라는 것을 통해 Cl-가 이탈기임을 알 수 있음
② 반응 메커니즘 : 케토에스터의 알파수소 제거반응 + SN2 치환반응

③ 13C NMR 피크 δ = 208.3 ppm에 해당하는 탄소 : 육각고리 상에 있는 케톤 탄소 (R-CO-R)
○ 가장 많이 deshielded 된 탄소가 가장 큰 δ 값인 208.3 ppm에 해당하는 탄소
○ -COO-의 경우 -OMe기의 전자 주기 공명 효과로 인해 탄소의 deshield 정도가 크지 않음
○ 그러므로 가장 많이 deshielded 된 탄소는 케톤 탄소 (C=O)
○ 13C NMR chemical shift의 구체적인 값
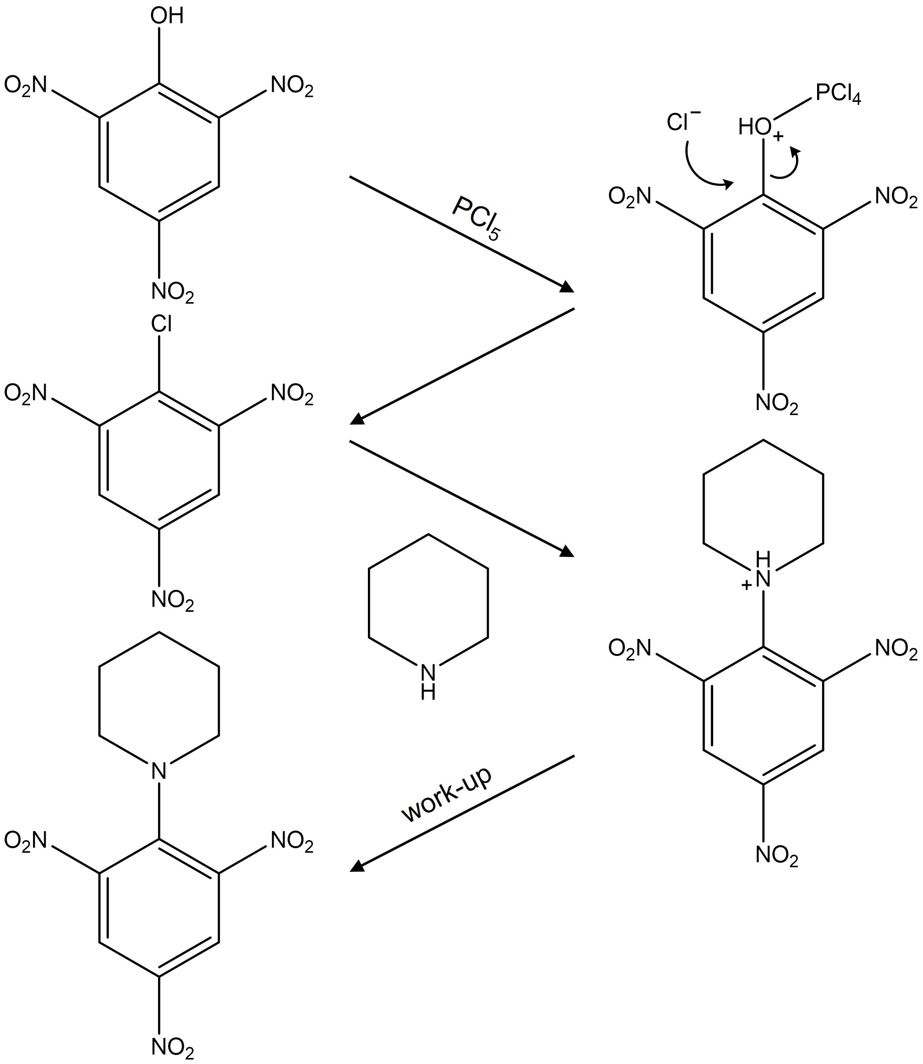
문제 3. 다음 반응을 보고 물음에 답하시오.

⑴ 문제 3-1. 반응 1에서 생성물 A의 구조를 제시하고 반응 메커니즘을 설명하시오.
⑵ 답 3-1. Cl-의 첨가 후 제거반응 + 아민의 첨가 후 제거반응

⑶ 문제 3-2. 반응 1에서 반응조건은 같고 반응물을 2,4,6-trinitrophenol에서 phenol로 바꾸었다면 이 둘의 반응속도를 서로 비교하고, 그 이유를 중간체 구조를 비교하면서 구체적으로 설명하시오.
⑷ 답 3-2. phenol로 바꾸었을 때 더 느려진다. 그 이유는 -NO2기라는 EWG가 음하전 방향족 중간체 안정화에 기여하기 때문이다.
⑸ 문제 3-3. 반응 2에서 반응 메커니즘을 설명하시오.
⑹ 답 3-3. 에스터 교환 반응(trans-esterification)

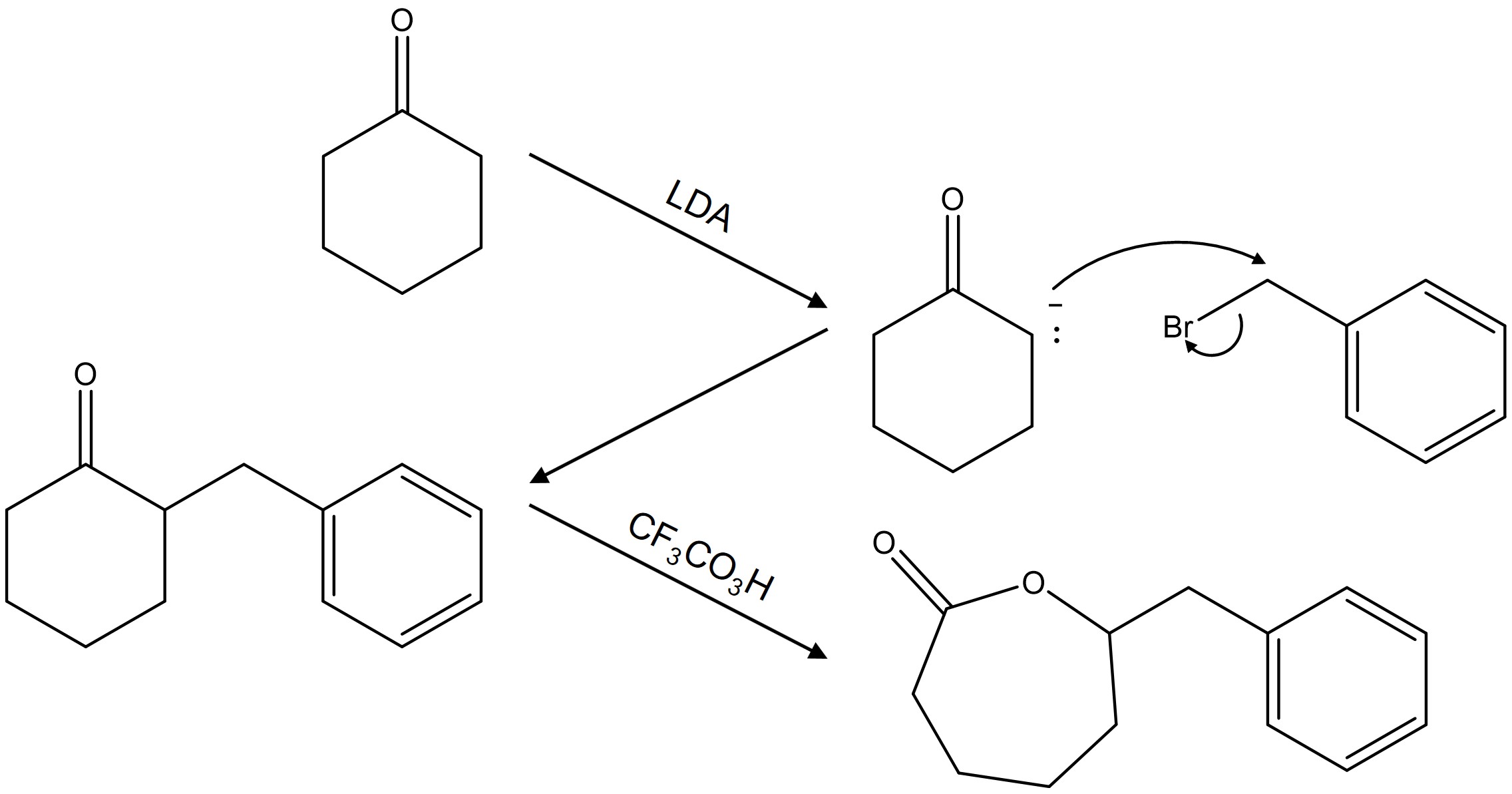
문제 4. 다음 반응에서 주생성물 A, B, C, D, E의 구조를 입체화학을 표시하여 그리시오. (단, 각 단계 반응에서 적절한 조건으로 work-up 및 분리정제 과정이 수행되었다.)
⑴ 문제 4-1.

⑵ 답 4-1. BnBr(= PhCH2Br)에 대한 SN2 반응 + Baeyer-Villiger oxidation

⑶ 문제 4-2.

⑷ 답 4-2.
① 반응물 → B : 수소화 붕소에 의한 수화 (anti-Markovnikov 수화) + 산 무수물 에스터 생성 반응

② 반응물 → C : 알켄의 에폭시화 + 염기 촉매 에폭시 고리 열림반응

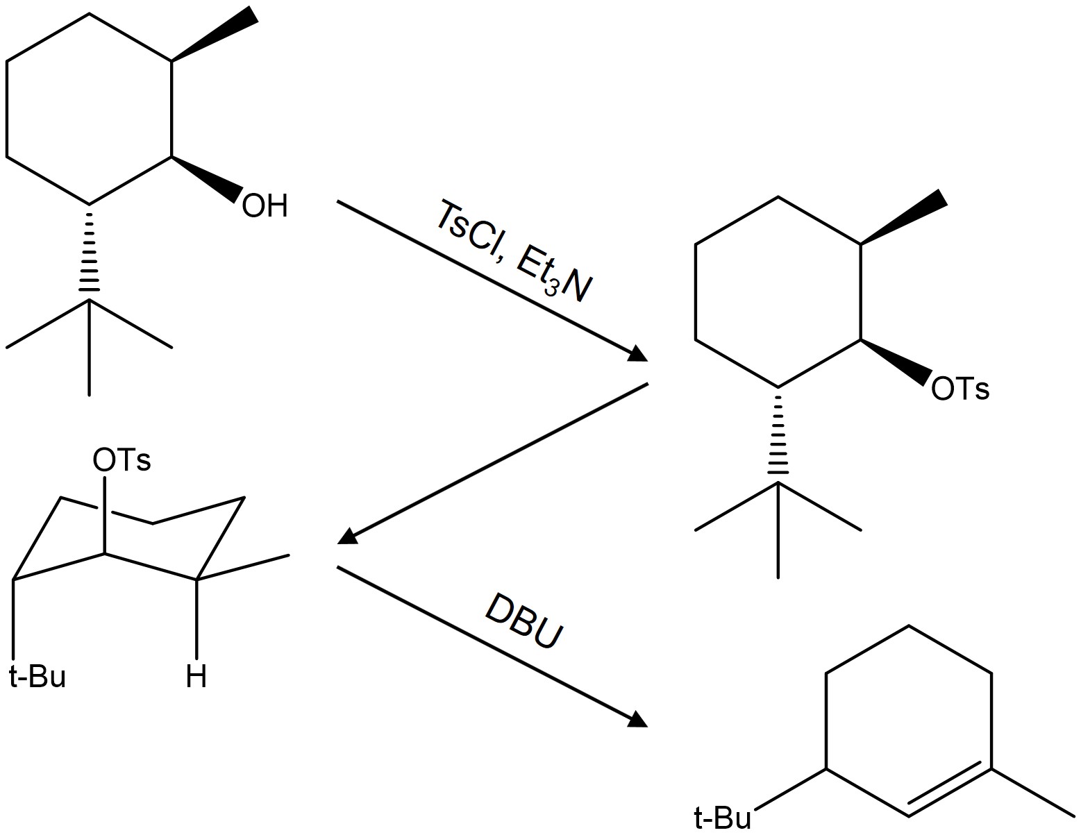
⑸ 문제 4-3.

⑹ 답 4-3.
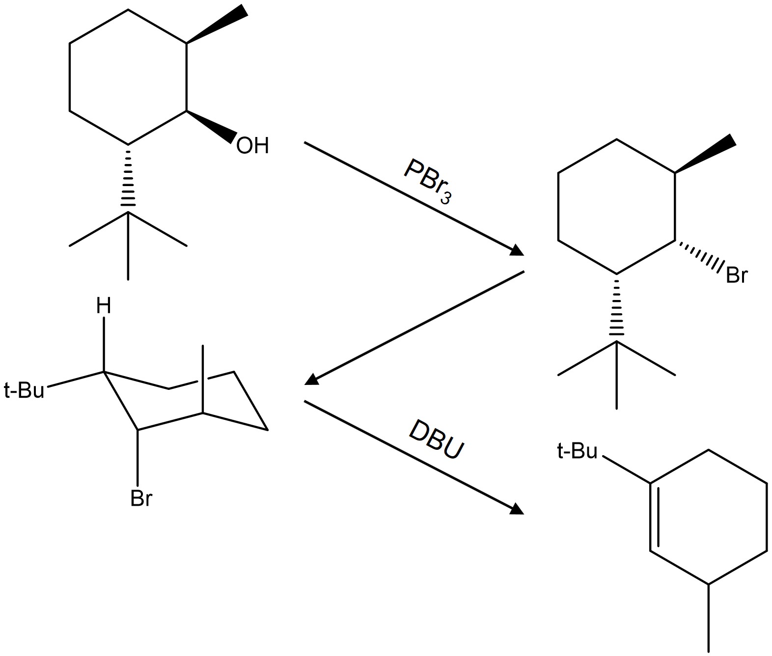
① 반응물 → D : 알코올 토실화 (알코올 보호반응) + 입체장애가 있는 강염기인 DBU에 의한 E2 제거반응

② 반응물 → E : 알코올 SN2 반응 + 입체장애가 있는 강염기인 DBU에 의한 E2 제거반응

입력 : 2022.09.18 09:25
'▶ 자연과학 > ▷ 변리사 풀이' 카테고리의 다른 글
| 【분자생물학】 2021년 제58회 변리사 2차 국가자격시험 (0) | 2022.12.06 |
|---|---|
| 【분자생물학】 2022년 제59회 변리사 2차 국가자격시험 (0) | 2022.12.06 |
| 【유기화학】 2014년 제51회 변리사 2차 국가자격시험 (20) | 2022.09.10 |
| 【유기화학】 2021년 제58회 변리사 2차 국가자격시험 (9) | 2021.08.08 |
| 【유기화학】 2008년 제45회 변리사 2차 국가자격시험 (0) | 2021.07.03 |
최근댓글