The Solution for GRE Physics Practice Test [41-60]
추천글 : 【GRE】 Solution for GRE Physics Practice Test
41. The quantum efficiency of a photon detector is 0.1. If 100 photons are sent into the detector, one after the other, the detector will detect photons

⑴ answer: E
⑶ average = np = 100 × 0.1 = 10
⑷ variance = np(1 - p) = 100 × 0.1 × 0.9 = 9
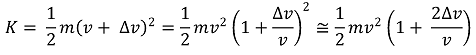
42. Two students perform an experiment in which they drop a ball from rest from a known height above the ground and measure the speed of the ball just before it strikes the ground. From repeated measurement, the students estimate the uncertainty in the measured speed of the ball to be 10 percent. Which of the following gives the uncertainty in the kinetic energy of the ball? (Assume the uncertainty in the ball’s mass is negligibly small.)

⑴ answer: D
⑵ Taylor expansion

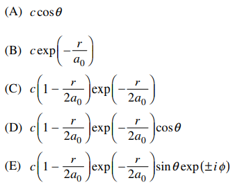
43. Which of the following wave functions represents a solution to the Schrödinger equation for an electron in the 2s state of a hydrogen atom? (c is a constant and a0 is the Bohr radius.)

⑴ answer: C
⑵ point 1. there is one radial node : 🄐 and 🄑 are in appropriate.
⑶ point 2. there is a radial symmetry because it is s orbital : 🄓 and 🄔 are inappropriate.
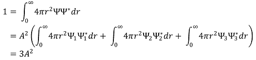
44. A particle in an infinite square well has as its initial wave function an equal mixture of the first three orthonormal stationary states: Ψ(x, 0) = A [Ψ1(x) + Ψ2(x) + Ψ3(x)]. The value of the normalization constant A is equal to which of the following?

⑴ answer: A
⑵ normalization

45. A matter wave of energy E > 0 and wave number k is incident from the left on a potential well of width L and depth V0. The top of the well is at zero energy and the bottom of the well is at -V0, as shown in the figure below. The spatial part of the wave function in region 3 has which of the following forms? (A is a constant.)


⑴ answer: A
⑵ time-independent Schrödinger equation

⑶ point 1. Ψ is exponential functoin.
⑷ point 2. Ψ should have exponents which are imaginary.
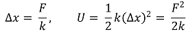
46. Spring 1 has force constant k1 and spring 2 has force constant k2, where k1 > k2. If the same external force is applied to both springs, which of the following is true about the extensions (Δx1 and Δx2) and the stored potential energies (U1 and U2) of the following?

⑴ answer: A
⑵ hooke's law

47. A stone is glued to the top of a light wooden block that floats in a pool of water, as shown in Figure 1 below. Assume that exactly 50 percent of the block is under water, and that the stone has half the weight of the block. If the block and stone are flipped over, as shown in Figure 2, and replaced in the pool, the amount of the block under water will be

⑴ answer: A
⑵ buoyancy

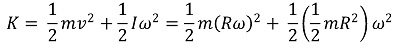
48. A uniform solid disk starts from rest and rolls down an inclined plane without slipping. After some time, what fraction of the disk’s total kinetic energy is rotational kinetic energy?

⑴ answer: B

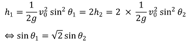
49. Two projectiles are launched from ground level with the same initial speed. The maximum height h1 reached by projectile 1 is twice the maximum height h2 reached by projectile 2. If θ1 and θ2 denote the respective launch angles, as measured from the horizontal, these angles satisfy which of the following relationships?

⑴ answer: B

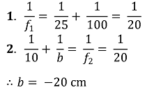
50. When an object is located 25 cm from lens 1, an inverted image is produced 100 cm from the lens, as shown in Figure 1 below. A second lens with a focal length of +20 cm is placed 110 cm from the first lens, as shown in Figure 2 below. Which of the following is true of the image produced by lens 2?


⑴ answer: C


51. A grating spectrometer can just barely resolve two wavelengths of 500 nm and 502 nm, respectively. Which of the following gives the resolving power of the spectrometer?

⑴ answer: B

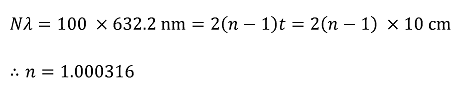
52. A gas cell with an optical path length of 10 cm is placed in one arm of a Michelson interferometer. If the light source for the interferometer is a laser with wavelength λ = 632.2 nm, then 100 fringes are counted as the gas cell is evacuated. What is the index of refraction of the original gas?

⑴ answer: B
⑵ Michelson's interferometer - refractive index of glass plate

53. A microwave line has a laboratory wavelength of 1 μm. If the Hubble constant H ≈ 75 (km/s)/Mpc, the observed wavelength for the line from a galaxy 100 Mpc distant is about

⑴ answer: D
⑵ Hubble's eye speed formula : Longer wavelength is observed due to space expansion.

54. The AC circuit shown below contains an ideal rectifying diode. If the function generator supplies ε(t) = V0 sin ωt , which of the following describes the voltage across the resistor?


⑴ answer: B
55. The Fourier series expansion of a function f(x) that is periodic with period 2π is

If f(x) is given by the graph below, which of the following statements about the coefficients is true?


⑴ answer: B
⑵ As the given function f(x) is even function, bn should be 0 so that f(x) is like cos (nx), where n = 1, 2, ···.
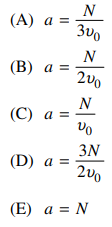
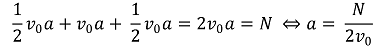
56. A sample of N molecules has the distribution of speeds shown in the figure below. P(ν)dν is an estimate of the number of molecules with speeds between ν and ν + dν, and this number is nonzero only up to 3ν0, where ν0 is constant. Which of the following gives the value of a?


⑴ answer: B
⑵ simple calculation

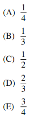
57. Which of the following statements is (are) true for a Maxwell-Boltzmann description of an ideal gas of atoms in equilibrium at temperature T?

⑴ answer: D
⑵ Maxwell-Boltzmann speed distribution


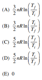
58. A monatomic ideal gas changes from an initial state (Pi, Vi, Ti, ni) to a final state (Pf, Vf, Tf, nf), where Pi < Pf, Vi = Vf, Ti < Tf and ni = nf. Which of the following gives the change in entropy of the gas?

⑴ answer: A

59. Low-energy electrons are accelerated between electrodes in a tube filled with a gas in the Franck-Hertz apparatus represented below. A plot of current collected versus accelerating voltage is also shown. The data provide evidence for which of the following?


⑴ answer: C
⑵ The accelerated electron can lose only a specific quantity (4.9 eV) of its kinetic energy, which is excitation energy of the gas.
60. A photon of wavelength λ is scattered from an electron through an angle θ. Which of the following correctly gives the wavelength λ' of the scattered photon?

⑴ answer: A

입력 : 2022.12.28 01:43
'▶ 자연과학 > ▷ GRE Subject 풀이' 카테고리의 다른 글
| 【GR1776】 The Solution for GRE Physics Practice Test [81-100] (0) | 2023.01.01 |
|---|---|
| 【GR1776】 The Solution for GRE Physics Practice Test [61-80] (0) | 2022.12.30 |
| 【GR1776】 The Solution for GRE Physics Practice Test [21-40] (0) | 2022.12.27 |
| 【GR1776】 The Solution for GRE Physics Practice Test [01-20] (0) | 2022.12.26 |
| 【GRE】 Solution for GRE Physics Practice Test (0) | 2022.12.26 |
최근댓글